Suppr超能文献

乳腺癌中CDK4/6治疗下的体外微小RNA表达谱改变

In Vitro microRNA Expression Profile Alterations under CDK4/6 Therapy in Breast Cancer.

作者信息

Asberger Jasmin, Berner Kai, Bicker Anna, Metz Marius, Jäger Markus, Weiß Daniela, Kreutz Clemens, Juhasz-Böss Ingolf, Mayer Sebastian, Ge Isabell, Erbes Thalia

机构信息

Department of Obstetrics and Gynecology, Medical Center-University Hospital Freiburg, 79106 Freiburg, Germany.

Faculty of Medicine, University of Freiburg, 79106 Freiburg, Germany.

出版信息

Biomedicines. 2023 Oct 5;11(10):2705. doi: 10.3390/biomedicines11102705.

Abstract

BACKGROUND

Breast cancer is the most common type of cancer worldwide. Cyclin-dependent kinase inhibition is one of the backbones of metastatic breast cancer therapy. However, there are a significant number of therapy failures. This study evaluates the biomarker potential of microRNAs for the prediction of a therapy response under cyclin-dependent kinase inhibition.

METHODS

This study comprises the analysis of intracellular and extracellular microRNA-expression-level alterations of 56 microRNAs under palbociclib mono as well as combination therapy with letrozole. Breast cancer cell lines BT-474, MCF-7 and HS-578T were analyzed using qPCR.

RESULTS

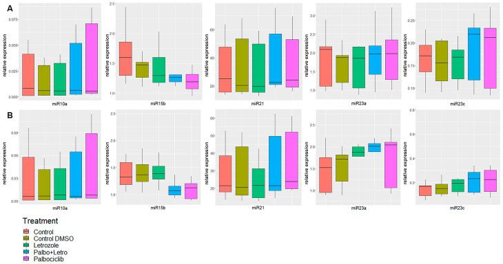
A palbociclib-induced microRNA signature could be detected intracellularly as well as extracellularly. Intracellular miR-10a, miR-15b, miR-21, miR-23a and miR-23c were constantly regulated in all three cell lines, whereas let-7b, let-7d, miR-15a, miR-17, miR-18a, miR-20a, miR-191 and miR301a_3p were regulated only in hormone-receptor-positive cells. Extracellular miR-100, miR-10b and miR-182 were constantly regulated across all cell lines, whereas miR-17 was regulated only in hormone-receptor-positive cells.

CONCLUSIONS

Because they are secreted and significantly upregulated in the microenvironment of tumor cells, miRs-100, -10b and -182 are promising circulating biomarkers that can be used to predict or detect therapy responses under CDK inhibition. MiR-10a, miR-15b, miR-21, miR-23a and miR-23c are potential tissue-based biomarkers.

摘要

背景

乳腺癌是全球最常见的癌症类型。细胞周期蛋白依赖性激酶抑制是转移性乳腺癌治疗的主要手段之一。然而,仍有相当数量的治疗失败案例。本研究评估了微小RNA作为生物标志物预测细胞周期蛋白依赖性激酶抑制治疗反应的潜力。

方法

本研究分析了在帕博西尼单药治疗以及与来曲唑联合治疗下56种微小RNA的细胞内和细胞外表达水平变化。使用qPCR分析乳腺癌细胞系BT-474、MCF-7和HS-578T。

结果

在细胞内和细胞外均可检测到帕博西尼诱导的微小RNA特征。细胞内miR-10a、miR-15b、miR-21、miR-23a和miR-23c在所有三种细胞系中均持续受到调控,而let-7b、let-7d、miR-15a、miR-17、miR-18a、miR-20a、miR-191和miR301a_3p仅在激素受体阳性细胞中受到调控。细胞外miR-100、miR-10b和miR-182在所有细胞系中均持续受到调控,而miR-17仅在激素受体阳性细胞中受到调控。

结论

由于miR-100、-10b和-182在肿瘤细胞微环境中分泌且显著上调,它们是有前景的循环生物标志物,可用于预测或检测CDK抑制下的治疗反应。MiR-10a、miR-15b、miR-21、miR-23a和miR-23c是潜在的基于组织的生物标志物。

https://cdn.ncbi.nlm.nih.gov/pmc/blobs/917e/10604872/354b6f9b3139/biomedicines-11-02705-g001.jpg

文献AI研究员

20分钟写一篇综述,助力文献阅读效率提升50倍。

立即体验

用中文搜PubMed

大模型驱动的PubMed中文搜索引擎

马上搜索

文档翻译

学术文献翻译模型,支持多种主流文档格式。

立即体验