Suppr超能文献

壳寡糖及其衍生物:作为食品添加剂和生物活性成分的潜在候选物。

Chitooligosaccharide and Its Derivatives: Potential Candidates as Food Additives and Bioactive Components.

作者信息

Mittal Ajay, Singh Avtar, Buatong Jirayu, Saetang Jirakrit, Benjakul Soottawat

机构信息

International Center of Excellence in Seafood Science and Innovation, Faculty of Agro-Industry, Prince of Songkla University, Hat Yai 90110, Songkhla, Thailand.

Department of Food and Nutrition, Kyung Hee University, Seoul 02447, Republic of Korea.

出版信息

Foods. 2023 Oct 20;12(20):3854. doi: 10.3390/foods12203854.

Abstract

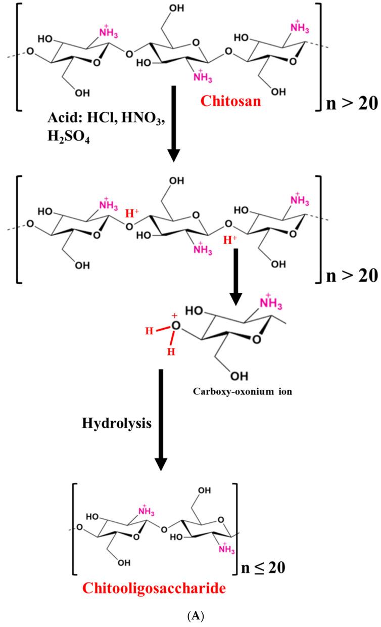
Chitooligosaccharide (CHOS), a depolymerized chitosan, can be prepared via physical, chemical, and enzymatic hydrolysis, or a combination of these techniques. The superior properties of CHOS have attracted attention as alternative additives or bioactive compounds for various food and biomedical applications. To increase the bioactivities of a CHOS, its derivatives have been prepared via different methods and were characterized using various analytical methods including FTIR and NMR spectroscopy. CHOS derivatives such as carboxylated CHOS, quaternized CHOS, and others showed their potential as potent anti-inflammatory, anti-obesity, neuroprotective, and anti-cancer agents, which could further be used for human health benefits. Moreover, enhanced antibacterial and antioxidant bioactivities, especially for a CHOS-polyphenol conjugate, could play a profound role in shelf-life extension and the safety assurance of perishable foods via the inhibition of spoilage microorganisms and pathogens and lipid oxidation. Also, the effectiveness of CHOS derivatives for shelf-life extension can be augmented when used in combination with other preservative technologies. Therefore, this review provides an overview of the production of a CHOS and its derivatives, as well as their potential applications in food as either additives or nutraceuticals. Furthermore, it revisits recent advancements in translational research and in vivo studies on CHOS and its derivatives in the medical-related field.

摘要

壳寡糖(CHOS)是一种脱聚壳聚糖,可通过物理、化学和酶水解或这些技术的组合来制备。CHOS的优异特性作为各种食品和生物医学应用的替代添加剂或生物活性化合物已引起关注。为了提高CHOS的生物活性,已通过不同方法制备了其衍生物,并使用包括傅里叶变换红外光谱(FTIR)和核磁共振光谱(NMR)在内的各种分析方法对其进行了表征。羧化CHOS、季铵化CHOS等CHOS衍生物显示出作为强效抗炎、抗肥胖、神经保护和抗癌剂的潜力,可进一步用于人类健康。此外,增强的抗菌和抗氧化生物活性,特别是对于CHOS-多酚共轭物,可通过抑制腐败微生物和病原体以及脂质氧化,在延长易腐食品的保质期和保证食品安全方面发挥重要作用。而且,CHOS衍生物与其他保鲜技术联合使用时,其延长保质期的效果可得到增强。因此,本综述概述了CHOS及其衍生物的生产,以及它们作为添加剂或营养保健品在食品中的潜在应用。此外,它还回顾了CHOS及其衍生物在医学相关领域的转化研究和体内研究的最新进展。

https://cdn.ncbi.nlm.nih.gov/pmc/blobs/4c02/10606384/6e5d88730c00/foods-12-03854-g001a.jpg

文献AI研究员

20分钟写一篇综述,助力文献阅读效率提升50倍。

立即体验

用中文搜PubMed

大模型驱动的PubMed中文搜索引擎

马上搜索

文档翻译

学术文献翻译模型,支持多种主流文档格式。

立即体验