Suppr超能文献

土壤堆肥条件下仙人掌废弃物-聚合物纤维的生物降解性评估

Biodegradability Assessment of Prickly Pear Waste-Polymer Fibers under Soil Composting.

作者信息

Correa-Pacheco Zormy Nacary, Bautista-Baños Silvia, Benítez-Jiménez José Jesús, Ortega-Gudiño Pedro, Cisneros-López Erick Omar, Hernández-López Mónica

机构信息

Centro de Desarrollo de Productos Bióticos, Instituto Politécnico Nacional, Carretera Yautepec-Jojutla, Km. 6, Calle CEPROBI, No. 8, San Isidro, Yautepec 62731, Morelos, Mexico.

Instituto de Ciencia de Materiales de Sevilla, CSIC-Universidad de Sevilla, Avda. Américo Vespucio 49, Isla de la Cartuja, 41092 Sevilla, Spain.

出版信息

Polymers (Basel). 2023 Oct 20;15(20):4164. doi: 10.3390/polym15204164.

Abstract

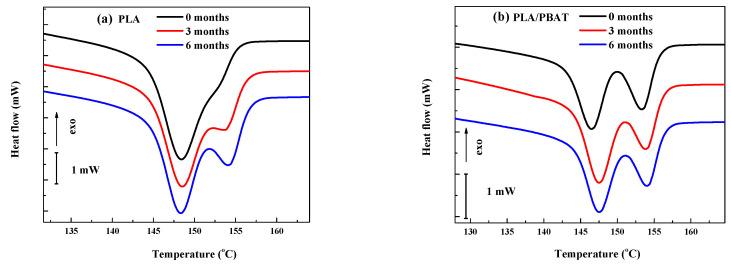
Nowadays, solving the problems associated with environmental pollution is of special interest. Therefore, in this work, the morphology and thermal and mechanical properties of extruded fibers based on polylactic acid (PLA) and poly(butylene adipate-co-terephthalate) (PBAT) added to prickly pear flour (PPF) under composting for 3 and 6 months were evaluated. The highest weight loss percentage (92 ± 7%) was obtained after 6-month degradation of the PLA/PBAT/PPF/CO/AA blend, in which PPF, canola oil (CO), and adipic acid (AA) were added. Optical and scanning electron microscopy (SEM) revealed structural changes in the fibers as composting time increased. The main changes in the absorption bands observed by Fourier transform infrared spectroscopy (FTIR) were related to the decrease in -C=O (1740 cm) and -C-O (1100 cm) groups and at 1269 cm, associated with hemicellulose in the blends with PPF. Differential scanning calorimetry (DSC) showed an increase in the cold crystallization and melting point with degradation time, being more evident in the fibers with PPF, as well as a decrease in the mechanical properties, especially Young's modulus. The obtained results suggest that PPF residues could promote the biodegradability of PLA/PBAT-based fiber composites.

摘要

如今,解决与环境污染相关的问题备受关注。因此,在本研究中,对添加了仙人掌果粉(PPF)的聚乳酸(PLA)和聚(己二酸丁二醇酯 - 对苯二甲酸丁二醇酯)(PBAT)基挤出纤维在堆肥3个月和6个月后的形态、热性能和力学性能进行了评估。在添加了PPF、菜籽油(CO)和己二酸(AA)的PLA/PBAT/PPF/CO/AA共混物经过6个月降解后,获得了最高的失重百分比(92±7%)。光学显微镜和扫描电子显微镜(SEM)显示,随着堆肥时间的增加,纤维的结构发生了变化。通过傅里叶变换红外光谱(FTIR)观察到的吸收带的主要变化与 -C=O(1740 cm)和 -C-O(1100 cm)基团以及在1269 cm处与含PPF共混物中的半纤维素相关的基团的减少有关。差示扫描量热法(DSC)表明,随着降解时间的增加,冷结晶温度和熔点升高,在含有PPF的纤维中更为明显,同时力学性能下降,尤其是杨氏模量。所得结果表明,PPF残渣可以促进PLA/PBAT基纤维复合材料的生物降解性。

https://cdn.ncbi.nlm.nih.gov/pmc/blobs/0bdb/10610709/0f764c593fa2/polymers-15-04164-g001.jpg

文献AI研究员

20分钟写一篇综述,助力文献阅读效率提升50倍。

立即体验

用中文搜PubMed

大模型驱动的PubMed中文搜索引擎

马上搜索

文档翻译

学术文献翻译模型,支持多种主流文档格式。

立即体验