Suppr超能文献

小麦-大豆带状套作下大豆品种的幼苗出土和生物量生产。

Seedling emergence and biomass production of soybean cultivars under wheat-soybean relay cropping.

机构信息

INRAE, University of Toulouse, UMR AGIR, Castanet-Tolosan, France.

出版信息

PLoS One. 2023 Nov 1;18(11):e0293671. doi: 10.1371/journal.pone.0293671. eCollection 2023.

Abstract

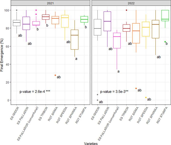
Diversification and intensification of cropping systems can ensure farm profitability while reducing negative environmental impacts of agriculture. Wheat-soybean relay cropping (RC), which consists in planting soybean into standing wheat prior to its harvest, may have this potential although it is poorly adopted by French and European farmers. One of the reasons underlying this lack of adoption could be poor emergence rates and biomass production of soybean, due to a severe competition from the already established primary crop for water, light and nutrients during the co-growth or intercrop phase. All these constraints during the early plant growth could finally affect soybean grain yield and thus farm profitability. Here, we performed a laboratory experiment followed by a 2-year field trial (2021-2022) to investigate potential differences among seven soybean cultivars belonging to different maturity groups (from very early to late) in terms of early growth traits viz. seed germination, seedling emergence vigor and final rates, and early biomass production in wheat-soybean RC. A reference soybean variety belonging to late maturity group (cv. ES Pallador) was also sown under conventional cropping system as control treatment (hereafter referred to as CC). Under laboratory conditions, the base water potential for germination ranged from -0.65 to -0.45 MPa with significant differences (p<0.001) among the tested cultivars indicating their differential tolerance to water stress. Under field conditions, seedling emergence vigor, an index explaining the speed of emergence, ranged from 0.23 to 0.41 and from 0.24 to 0.33 while final emergence rates ranged from 69% to 93% and from 65 to 90% in 2021 and 2022, respectively. We found significant effect of cultivar, year and cultivar x year interaction on emergence vigor (p<0.001) and final emergence rates (p<0.01, p<0.05 and p<0.01, respectively) of soybean cultivars. Significantly higher emergence vigor of the referent cv. ES Pallador was observed in RC compared to CC cropping system in 2021 (0.40 and 0.34, respectively) but not in 2022 (0.29 and 0.31, respectively). Water stress in the seedbed was higher in RC compared to the CC and was the main cause affecting seed germination and seedling emergence vigor especially in 2022. We found a positive correlation between seedling emergence vigor and seedling final emergence rates indicating that a lower speed of seedling emergence, due to seedbed stress factors, affects final emergence rates of soybean. Post-emergence losses due to pigeons were significantly higher (p<0.001) in CC compared to RC (30% and 2% in 2021, and 29% and 2% in 2022 in CC and RC, respectively). Significantly higher biomass production was observed in CC compared to that in RC both in 2021 (162 vs 33 g/m2 of dry matter; p<0.001) and 2022 (252 vs 60 g/m2 of dry matter; p<0.001). Overall, pre-/post-emergence water stress in the seedbed and post-emergence damage due to pigeons are the most important factors affecting a uniform and robust soybean establishment under RC and CC, respectively under southern French conditions.

摘要

轮作和复种可以确保农业盈利,同时减少农业对环境的负面影响。小麦-大豆套种(RC)是在小麦收获前种植大豆,可以实现这一目标,但在法国和欧洲的农民中应用较少。造成这种情况的原因之一可能是由于在共同生长或间作阶段,大豆与已经建立的主要作物对水、光和养分的竞争激烈,导致大豆的出苗率和生物量生产较低。这些早期植物生长过程中的所有限制因素最终可能会影响大豆的籽粒产量,从而影响农场的盈利能力。在这里,我们进行了一项实验室实验和两年的田间试验(2021-2022 年),以研究属于不同成熟组(从极早到晚)的七个大豆品种在小麦-大豆 RC 中的早期生长特性方面的潜在差异,如种子发芽、幼苗出苗活力和最终出苗率以及早期生物量生产。一个属于晚熟组的参考大豆品种(cv. ES Pallador)也作为对照处理(以下简称 CC)在常规种植系统中播种。在实验室条件下,发芽的基础水势范围为-0.65 至-0.45 MPa,不同品种之间存在显著差异(p<0.001),表明它们对水分胁迫的耐受性不同。在田间条件下,出苗活力(解释出苗速度的指标)在 2021 年和 2022 年分别为 0.23 至 0.41 和 0.24 至 0.33,最终出苗率分别为 69%至 93%和 65%至 90%。我们发现品种、年份和品种×年份相互作用对出苗活力(p<0.001)和最终出苗率(p<0.01、p<0.05 和 p<0.01,分别)有显著影响。在 2021 年,RC 中参考品种 ES Pallador 的出苗活力(0.40 和 0.34)明显高于 CC 种植系统,但在 2022 年则相反(0.29 和 0.31)。RC 中的苗床水分胁迫高于 CC,是影响种子发芽和幼苗出苗活力的主要原因,特别是在 2022 年。我们发现出苗活力与幼苗最终出苗率之间存在正相关关系,这表明由于苗床胁迫因素,较低的幼苗出苗速度会影响大豆的最终出苗率。由于鸽子的啄食,RC 中的后期损失(p<0.001)明显高于 CC(2021 年 CC 和 RC 分别为 30%和 2%,2022 年分别为 29%和 2%)。CC 中的生物量生产明显高于 RC,2021 年和 2022 年分别为 162 克/平方米和 252 克/平方米(p<0.001)和 33 克/平方米和 60 克/平方米(p<0.001)。总的来说,在法国南部的条件下,苗床的预/后期水分胁迫和鸽子的后期损害是影响 RC 和 CC 中大豆均匀和健壮建立的最重要因素。

https://cdn.ncbi.nlm.nih.gov/pmc/blobs/ec9b/10619765/33a2f596a440/pone.0293671.g001.jpg

文献AI研究员

20分钟写一篇综述,助力文献阅读效率提升50倍。

立即体验

用中文搜PubMed

大模型驱动的PubMed中文搜索引擎

马上搜索

文档翻译

学术文献翻译模型,支持多种主流文档格式。

立即体验