Suppr超能文献

托法替布在类风湿关节炎合并可能存在抑郁/焦虑患者中的疗效:3期及3b/4期随机对照试验的事后分析

Tofacitinib Efficacy in Patients with Rheumatoid Arthritis and Probable Depression/Anxiety: Post Hoc Analysis of Phase 3 and 3b/4 Randomized Controlled Trials.

作者信息

Citera Gustavo, Jain Rakesh, Irazoque Fedra, Madariaga Hugo, Gruben David, Wang Lisy, Stockert Lori, Santana Karina, Ebrahim Abbas, Ponce de Leon Dario

机构信息

Instituto de Rehabilitación Psicofísica, Buenos Aires, Argentina.

Texas Tech University School of Medicine, Permian Basin, Midland, TX, USA.

出版信息

Rheumatol Ther. 2024 Feb;11(1):35-50. doi: 10.1007/s40744-023-00612-7. Epub 2023 Nov 5.

Abstract

INTRODUCTION

The aim of our work is to assess the prevalence of probable major depressive disorder and/or probable generalized anxiety disorder (pMDD/pGAD) in patients with moderate to severe rheumatoid arthritis (RA), and to evaluate the efficacy of tofacitinib on RA symptoms stratified by baseline pMDD/pGAD status.

METHODS

Data were pooled from five phase 3 randomized controlled trials (RCTs) and one phase 3b/4 RCT, assessing tofacitinib 5 or 10 mg twice daily (BID), adalimumab (two RCTs), or placebo. pMDD/pGAD was defined as Short Form-36 Health Survey (SF-36) Mental Component Summary (MCS) score ≤ 38. Efficacy outcomes over 12 months included least squares mean change from baseline in SF-36 MCS score and Health Assessment Questionnaire-Disability Index, proportions of patients with pMDD/pGAD in those with baseline pMDD/pGAD, and American College of Rheumatology 20/50/70 response, and Disease Activity Score in 28 joints, erythrocyte sedimentation rate remission (< 2.6) rates.

RESULTS

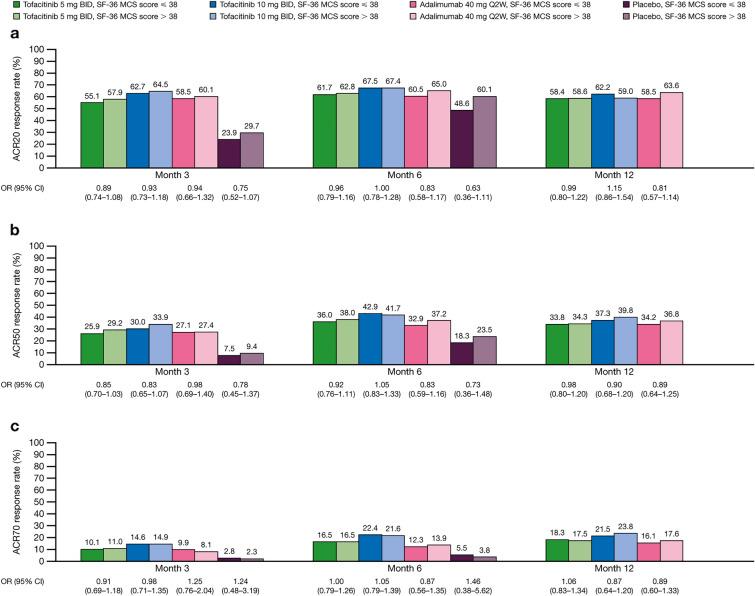
A total of 4404 patients with non-missing baseline values were included. Baseline pMDD/pGAD was reported by 44.5%, 39.8%, 45.4%, and 39.1% of patients receiving tofacitinib 5 mg BID, tofacitinib 10 mg BID, adalimumab, and placebo, respectively. SF-36 MCS improvements were greater for tofacitinib versus adalimumab/placebo through month 6, with numerical improvements for tofacitinib versus adalimumab sustained through month 12, when the proportions of patients with baseline pMDD/pGAD who continued to have pMDD/pGAD were reduced. RA efficacy outcomes were generally similar in patients with/without baseline pMDD/pGAD.

CONCLUSIONS

The percentage of patients with pMDD/pGAD reduced from baseline over 1 year of treatment with tofacitinib or adalimumab. Effective treatment of underlying RA may lead to improvements in depression and anxiety, based on the SF-36 MCS. Specially designed studies using gold-standard diagnostic tools would be warranted to investigate this further. Video Abstract available for this article.

TRIAL REGISTRATION

NCT00960440, NCT00847613, NCT00814307, NCT00856544, NCT00853385, NCT02187055. Video Abstract (MP4 204475 KB).

摘要

引言

我们研究的目的是评估中度至重度类风湿关节炎(RA)患者中可能的重度抑郁症和/或可能的广泛性焦虑症(pMDD/pGAD)的患病率,并评估托法替布对根据基线pMDD/pGAD状态分层的RA症状的疗效。

方法

数据来自五项3期随机对照试验(RCT)和一项3b/4期RCT,评估每日两次(BID)服用5或10mg托法替布、阿达木单抗(两项RCT)或安慰剂的情况。pMDD/pGAD定义为简明健康调查问卷(SF-36)心理成分总分(MCS)得分≤38。12个月的疗效指标包括SF-36 MCS得分和健康评估问卷残疾指数相对于基线的最小二乘均值变化、基线时患有pMDD/pGAD的患者中仍患有pMDD/pGAD的患者比例、美国风湿病学会20/50/70反应以及28个关节的疾病活动评分、红细胞沉降率缓解(<2.6)率。

结果

共纳入4404例基线值无缺失的患者。接受每日两次5mg托法替布、每日两次10mg托法替布、阿达木单抗和安慰剂治疗的患者中,分别有44.5%、39.8%、45.4%和39.1%报告有基线pMDD/pGAD。在第6个月时,托法替布组的SF-36 MCS改善情况优于阿达木单抗/安慰剂组,到第12个月时,托法替布组相对于阿达木单抗组仍有数值上的改善,此时基线时患有pMDD/pGAD的患者中仍患有pMDD/pGAD 的比例有所降低。有/无基线pMDD/pGAD的患者的RA疗效指标总体相似。

结论

在使用托法替布或阿达木单抗治疗的1年中,pMDD/pGAD患者的比例较基线有所降低。基于SF-36 MCS,有效治疗潜在的RA可能会改善抑郁和焦虑症状。有必要开展使用金标准诊断工具的专门研究以进一步调查这一情况。本文提供视频摘要。

试验注册

NCT00960440、NCT00847613、NCT00814307、NCT00856544、NCT00853385、NCT02187055。视频摘要(MP4,204475KB)

https://cdn.ncbi.nlm.nih.gov/pmc/blobs/cd94/10796892/79fbb4046d9f/40744_2023_612_Fig1_HTML.jpg

文献AI研究员

20分钟写一篇综述,助力文献阅读效率提升50倍。

立即体验

用中文搜PubMed

大模型驱动的PubMed中文搜索引擎

马上搜索

文档翻译

学术文献翻译模型,支持多种主流文档格式。

立即体验