Suppr超能文献

如何引导患者前往高容量医院:探讨影响因素。

How to direct patients to high-volume hospitals: exploring the influencing drivers.

机构信息

Centre for Research on Health and Social Care Management (CERGAS), SDA Bocconi School of Management - Bocconi University, Milan, Italy.

Department of Management and Production Engineering, Politecnico di Torino, Turin, Italy.

出版信息

BMC Health Serv Res. 2023 Nov 16;23(1):1269. doi: 10.1186/s12913-023-10229-9.

Abstract

BACKGROUND

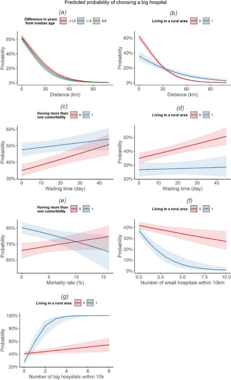
During the last decade, planning concentration policies have been applied in healthcare systems. Among them, attention has been given to guiding patients towards high-volume hospitals that perform better, acccording to the volume-outcome association. This paper analyses which factors drive patients to choose big or small hospitals (with respect to the international standards of volumes of activity).

METHODS

We examined colon cancer surgeries performed in Piedmont (Italy) between 2004 and 2018. We categorised the patient choice of the hospital as big/small, and we used this outcome as main dependent variable of descriptive statistics, tests and logistic regression models. As independent variables, we included (i) patient characteristics, (ii) characteristics of the closest big hospital (which should be perceived as the most immediate to be chosen), and (iii) territorial characteristics (i.e., characteristics of the set of hospitals among which the patient can choose). We also considered interactions among variables to examine which factors influence all or a subset of patients.

RESULTS

Our results confirm that patient personal characteristics (such as age) and hospital characteristics (such as distance) play a primary role in the patient decision process. The findings seem to support the importance of closing small hospitals when they are close to big hospitals, although differences emerge between rural and urban areas. Other interesting insights are provided by examining the interactions between factors, e.g., patients affected by comorbidities are more responsive to hospital quality even though they are distant.

CONCLUSIONS

Reorganising healthcare services to concentrate them in high-volume hospitals emerged as a crucial issue more than forty years ago. Evidence suggests that concentration strategies guarantee better clinical performance. However, in healthcare systems in which patients are free to choose where to be treated, understanding patients' behaviour and what drives them towards the most effective choice is of paramount importance. Our study builds on previous research that has already analysed factors influencing patients' choices, and takes a step further to enlighten which factors drive patients to choose between a small or a big hospital (in terms of volume). The results could be used by decision makers to design the best concentration strategy.

摘要

背景

在过去的十年中,医疗保健系统一直在实施规划集中政策。其中,根据量效关系,人们关注的是引导患者选择表现更好的高容量医院。本文分析了哪些因素促使患者选择大医院或小医院(相对于活动量的国际标准)。

方法

我们研究了 2004 年至 2018 年期间在皮埃蒙特(意大利)进行的结肠癌手术。我们将患者对医院的选择分为大/小,并将此结果作为描述性统计、检验和逻辑回归模型的主要因变量。作为自变量,我们包括(i)患者特征,(ii)最近的大医院的特征(应被视为最容易被选择的医院),和(iii)地域特征(即患者可以选择的一组医院的特征)。我们还考虑了变量之间的相互作用,以检查哪些因素会影响所有或部分患者。

结果

我们的研究结果证实,患者的个人特征(如年龄)和医院的特征(如距离)在患者决策过程中起着主要作用。研究结果似乎支持在大医院附近关闭小医院的重要性,尽管农村和城市地区存在差异。通过检查因素之间的相互作用,还可以得出其他有趣的见解,例如,患有合并症的患者即使距离较远,也会更加关注医院的质量。

结论

将医疗服务集中到高容量医院的重组策略在四十多年前就已经成为一个关键问题。有证据表明,集中化策略可以保证更好的临床效果。然而,在患者可以自由选择治疗地点的医疗保健系统中,了解患者的行为以及是什么促使他们做出最有效的选择至关重要。我们的研究建立在已经分析影响患者选择的因素的先前研究的基础上,并更进一步阐明了哪些因素促使患者在小医院和大医院(就容量而言)之间做出选择。这些结果可被决策者用于设计最佳的集中策略。

https://cdn.ncbi.nlm.nih.gov/pmc/blobs/cc5f/10655263/75ba4f27c7cb/12913_2023_10229_Fig1_HTML.jpg

文献AI研究员

20分钟写一篇综述,助力文献阅读效率提升50倍。

立即体验

用中文搜PubMed

大模型驱动的PubMed中文搜索引擎

马上搜索

文档翻译

学术文献翻译模型,支持多种主流文档格式。

立即体验