Suppr超能文献

循环 miRNA 122-5p 表达预测慢性血液透析患者的死亡率和心血管事件:一项多中心、前瞻性、初步研究。

Circulating miRNA 122-5p Expression Predicts Mortality and Cardiovascular Events in Chronic Hemodialysis Patients: A Multicentric, Pilot, Prospective Study.

机构信息

Department of Nephrology, School of Medicine, University of Ioannina, 45110 Ioannina, Greece.

Department of Health Sciences, Magna Graecia University, 88100 Catanzaro, Italy.

出版信息

Biomolecules. 2023 Nov 17;13(11):1663. doi: 10.3390/biom13111663.

Abstract

BACKGROUND

Despite patients undergoing chronic hemodialysis (HD) being notoriously prone to adverse cardiovascular (CV) events, risk prediction in this population remains challenging. miRNA 122-5p, a short, non-coding RNA predominantly involved in lipid and carbohydrate metabolism, has recently been related to the onset and progression of CV disease.

METHODS

We run a pilot, multicenter, longitudinal, observational study to evaluate the clinical significance and prognostic usefulness of circulating miRNA 122-5p in a multicentric cohort of 74 individuals on maintenance HD.

RESULTS

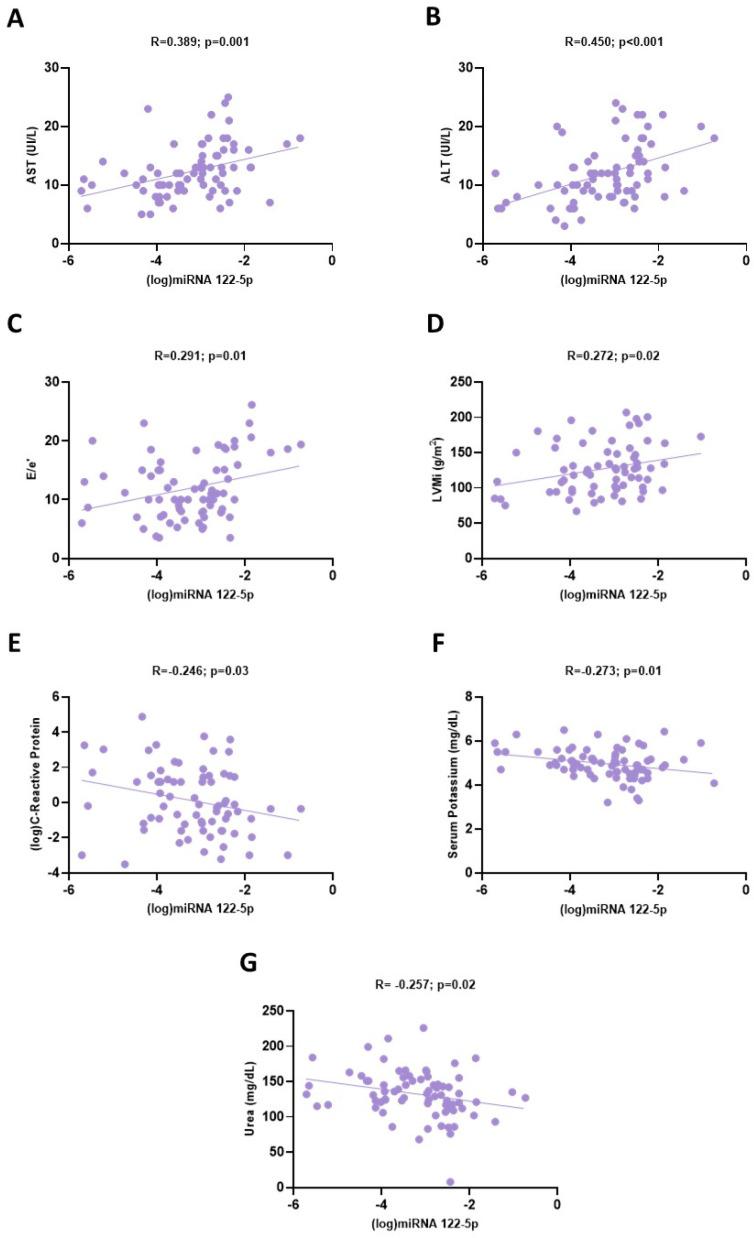
Patients displayed lower circulating miRNA 122-5p as compared to healthy controls ( = 0.004). At correlation analyses, ALT (β = 0.333; = 0.02), E/e' (β = 0.265; = 0.02) and CRP (β = -0.219; = 0.041) were independent predictors of miRNA 122-5p levels. During a median follow-up of 22 months (range of 1-24), 30 subjects (40.5%) experienced a composite endpoint of all-cause mortality and fatal/non-fatal CV events. Baseline circulating miRNA 122-5p was higher in these subjects ( = 0.01) and it predicted a significantly higher risk of endpoint occurrence (Kaplan-Meier crude HR 3.192; 95% CI 1.529-6.663; = 0.002; Cox regression adjusted HR 1.115; 95% CI 1.009-1.232; = 0.03).

CONCLUSIONS

Altered miRNA 122-5p levels in HD patients may reflect hepatic and CV damage and may impart important prognostic information for improving CV risk prediction in this particular setting.

摘要

背景

尽管接受慢性血液透析(HD)治疗的患者易发生不良心血管(CV)事件已众所周知,但该人群的风险预测仍然具有挑战性。miRNA 122-5p 是一种短的非编码 RNA,主要参与脂质和碳水化合物代谢,最近与 CV 疾病的发生和进展有关。

方法

我们进行了一项试点、多中心、纵向、观察性研究,以评估循环 miRNA 122-5p 在 74 名维持性 HD 患者的多中心队列中的临床意义和预后价值。

结果

与健康对照组相比,患者的循环 miRNA 122-5p 水平较低( = 0.004)。在相关性分析中,ALT(β = 0.333; = 0.02)、E/e'(β = 0.265; = 0.02)和 CRP(β = -0.219; = 0.041)是 miRNA 122-5p 水平的独立预测因子。在中位数为 22 个月(范围为 1-24 个月)的随访期间,30 名患者(40.5%)经历了全因死亡和致命/非致命 CV 事件的复合终点。这些患者的基线循环 miRNA 122-5p 水平较高( = 0.01),并且它预测了终点发生的风险显著增加(Kaplan-Meier 粗 HR 3.192;95%CI 1.529-6.663; = 0.002;Cox 回归调整 HR 1.115;95%CI 1.009-1.232; = 0.03)。

结论

HD 患者中 miRNA 122-5p 水平的改变可能反映了肝和 CV 损伤,并可能为改善该特定环境中的 CV 风险预测提供重要的预后信息。

https://cdn.ncbi.nlm.nih.gov/pmc/blobs/a394/10669802/ee1b236a4b93/biomolecules-13-01663-g001.jpg

文献AI研究员

20分钟写一篇综述,助力文献阅读效率提升50倍。

立即体验

用中文搜PubMed

大模型驱动的PubMed中文搜索引擎

马上搜索

文档翻译

学术文献翻译模型,支持多种主流文档格式。

立即体验