Suppr超能文献

萘醌类化合物是应对帕金森病挑战的一类有前景的化合物。

Naphthoquinones as a Promising Class of Compounds for Facing the Challenge of Parkinson's Disease.

作者信息

Santos Thaís Barreto, de Moraes Leonardo Gomes Cavalieri, Pacheco Paulo Anastácio Furtado, Dos Santos Douglas Galdino, Ribeiro Rafaella Machado de Assis Cabral, Moreira Caroline Dos Santos, da Rocha David Rodrigues

机构信息

Instituto de Química, Universidade Federal Fluminense, Outeiro de São João Batista s/n°, Niterói CEP 24.020-141, RJ, Brazil.

Instituto Federal do Rio de Janeiro, Campus Paracambi, Rua Sebastião Lacerda s/n°, Fábrica, Paracambi CEP 26.600-000, RJ, Brazil.

出版信息

Pharmaceuticals (Basel). 2023 Nov 8;16(11):1577. doi: 10.3390/ph16111577.

Abstract

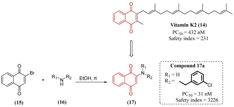
Parkinson's disease (PD) is a degenerative disease that affects approximately 6.1 million people and is primarily caused by the loss of dopaminergic neurons. Naphthoquinones have several biological activities explored in the literature, including neuroprotective effects. Therefore, this review shows an overview of naphthoquinones with neuroprotective effects, such as shikonin, plumbagin and vitamin K, that prevented oxidative stress, in addition to multiple mechanisms. Synthetic naphthoquinones with inhibitory activity on the P2X7 receptor were also found, leading to a neuroprotective effect on Neuro-2a cells. It was found that naphthazarin can act as inhibitors of the MAO-B enzyme. Vitamin K and synthetic naphthoquinones hybrids with tryptophan or dopamine showed inhibition of the aggregation of α-synuclein. Synthetic derivatives of juglone and naphthazarin were able to protect Neuro-2a cells against neurodegenerative effects of neurotoxins. In addition, routes for producing synthetic derivatives were also discussed. With the data presented, 1,4-naphthoquinones can be considered as a promising class in the treatment of PD and this review aims to assist the scientific community in the application of these compounds. The derivatives presented can also support further research that explores their structures as synthetic platforms, in addition to helping to understand the interaction of naphthoquinones with biological targets related to PD.

摘要

帕金森病(PD)是一种退行性疾病,影响着约610万人,主要由多巴胺能神经元的丧失引起。萘醌在文献中具有多种生物学活性,包括神经保护作用。因此,本综述概述了具有神经保护作用的萘醌,如紫草素、白花丹素和维生素K,它们除了多种机制外,还能预防氧化应激。还发现了对P2X7受体具有抑制活性的合成萘醌,对Neuro-2a细胞具有神经保护作用。发现萘茜可作为单胺氧化酶B(MAO-B)的抑制剂。维生素K以及与色氨酸或多巴胺的合成萘醌杂化物显示出对α-突触核蛋白聚集的抑制作用。胡桃醌和萘茜的合成衍生物能够保护Neuro-2a细胞免受神经毒素的神经退行性影响。此外,还讨论了合成衍生物的生产途径。根据所提供的数据,1,4-萘醌可被视为治疗帕金森病的一个有前景的类别,本综述旨在帮助科学界应用这些化合物。所介绍的衍生物还可以支持进一步的研究,除了有助于理解萘醌与帕金森病相关生物靶点的相互作用外,还可以探索它们作为合成平台的结构。

https://cdn.ncbi.nlm.nih.gov/pmc/blobs/2ee0/10674926/adf109fa91e5/pharmaceuticals-16-01577-g001.jpg

文献AI研究员

20分钟写一篇综述,助力文献阅读效率提升50倍。

立即体验

用中文搜PubMed

大模型驱动的PubMed中文搜索引擎

马上搜索

文档翻译

学术文献翻译模型,支持多种主流文档格式。

立即体验