Suppr超能文献

迈向使用生物标志物检测脆弱性:一项人群健康研究。

Moving towards the detection of frailty with biomarkers: A population health study.

机构信息

Virginia Commonwealth University School of Nursing, Richmond, Virginia, USA.

Department of Pharmacotherapy and Outcomes Science, Geriatric Pharmacotherapy Program, School of Pharmacy, Virginia Commonwealth University, Richmond, Virginia, USA.

出版信息

Aging Cell. 2024 Feb;23(2):e14030. doi: 10.1111/acel.14030. Epub 2023 Dec 8.

Abstract

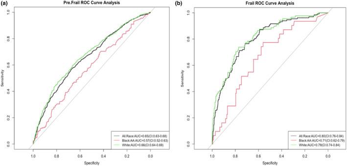
Aging adults experience increased health vulnerability and compromised abilities to cope with stressors, which are the clinical manifestations of frailty. Frailty is complex, and efforts to identify biomarkers to detect frailty and pre-frailty in the clinical setting are rarely reproduced across cohorts. We developed a predictive model incorporating biological and clinical frailty measures to identify robust biomarkers across data sets. Data were from two large cohorts of older adults: "Invecchiare in Chianti (Aging in Chianti, InCHIANTI Study") (n = 1453) from two small towns in Tuscany, Italy, and replicated in the Atherosclerosis Risk in Communities Study (ARIC) (n = 6508) from four U.S. communities. A complex systems approach to biomarker selection with a tree-boosting machine learning (ML) technique for supervised learning analysis was used to examine biomarker population differences across both datasets. Our approach compared predictors with robust, pre-frail, and frail participants and examined the ability to detect frailty status by race. Unique biomarker features identified in the InCHIANTI study allowed us to predict frailty with a model accuracy of 0.72 (95% confidence interval (CI) 0.66-0.80). Replication models in ARIC maintained a model accuracy of 0.64 (95% CI 0.66-0.72). Frail and pre-frail Black participant models maintained a lower model accuracy. The predictive panel of biomarkers identified in this study may improve the ability to detect frailty as a complex aging syndrome in the clinical setting. We propose several concrete next steps to keep research moving toward detecting frailty with biomarker-based detection methods.

摘要

老年人健康脆弱性增加,应对压力的能力受损,这是脆弱的临床表现。脆弱是复杂的,努力确定生物标志物来检测临床中的脆弱和衰弱前期,在不同队列中很少得到重现。我们开发了一个包含生物和临床脆弱性测量的预测模型,以确定跨数据集的稳健生物标志物。数据来自两个意大利托斯卡纳小镇的两个大型老年人队列:“衰老在奇安蒂(衰老在奇安蒂,InCHIANTI 研究)(n=1453)”和美国四个社区的动脉粥样硬化风险社区研究(ARIC)(n=6508)。使用一种基于树的提升机器学习(ML)技术的复杂系统生物标志物选择方法对两个数据集进行了监督学习分析,以检查生物标志物的人群差异。我们的方法比较了预测因子与稳健、衰弱前期和衰弱参与者的差异,并检查了按种族检测衰弱状态的能力。在 InCHIANTI 研究中确定的独特生物标志物特征使我们能够以 0.72(95%置信区间(CI)0.66-0.80)的模型准确性预测衰弱。ARIC 的复制模型保持了 0.64(95%置信区间(CI)0.66-0.72)的模型准确性。黑种人衰弱和衰弱前期参与者的模型保持了较低的模型准确性。本研究中确定的预测生物标志物面板可能会提高在临床环境中检测作为一种复杂衰老综合征的脆弱性的能力。我们提出了几个具体的下一步措施,以使研究朝着使用基于生物标志物的检测方法检测脆弱性的方向前进。

https://cdn.ncbi.nlm.nih.gov/pmc/blobs/052b/10861189/e1da9c223d89/ACEL-23-e14030-g003.jpg

文献AI研究员

20分钟写一篇综述,助力文献阅读效率提升50倍。

立即体验

用中文搜PubMed

大模型驱动的PubMed中文搜索引擎

马上搜索

文档翻译

学术文献翻译模型,支持多种主流文档格式。

立即体验