Suppr超能文献

新型抗菌剂SAAP-148和Halicin对抗定殖于导管的革兰氏阴性菌。

Novel Antibacterial Agents SAAP-148 and Halicin Combat Gram-Negative Bacteria Colonizing Catheters.

作者信息

Bouhrour Nesrine, van der Reijden Tanny J K, Voet Michella M, Schonkeren-Ravensbergen Bep, Cordfunke Robert A, Drijfhout Jan Wouter, Bendali Farida, Nibbering Peter H

机构信息

Laboratoire de Microbiologie Appliquée, Faculté des Sciences de la Nature et de la Vie, Université de Bejaia, Bejaia 06000, Algeria.

Department of Infectious Diseases, Leiden University Medical Center, 2300 RC Leiden, The Netherlands.

出版信息

Antibiotics (Basel). 2023 Dec 16;12(12):1743. doi: 10.3390/antibiotics12121743.

Abstract

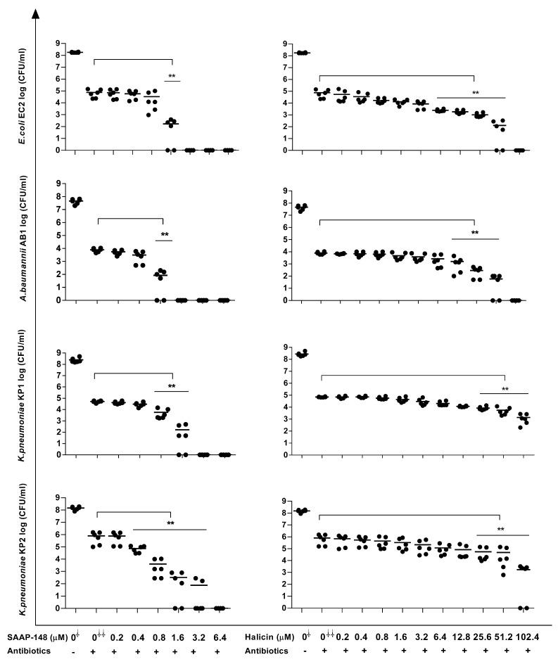
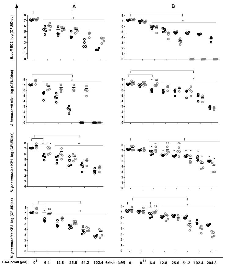
The antibiotic management of catheter-related infections (CRIs) often fails owing to the emergence of antimicrobial-resistant strains and/or biofilm/persister apparitions. Thus, we investigated the efficacy of two novel antimicrobial agents, i.e., the synthetic peptide SAAP-148 and the novel antibiotic halicin, against Gram-negative bacteria (GNB) colonizing catheters. The antibacterial, anti-biofilm, and anti-persister activities of both agents were evaluated against , , and strains. The enrolled strains were isolated from catheters and selected based on their resistance to at least three antibiotic classes and biofilm formation potential. Furthermore, the hemolysis and endotoxin neutralization abilities of these agents were explored. The bactericidal activity of both agents was reduced in urine and plasma as compared to buffered saline. In a dose-dependent manner, SAAP-148 and halicin reduced bacterial counts in 24 h preformed biofilms on silicone elastomer discs and eliminated persisters originating from antibiotic-exposed mature 7-day biofilms, with halicin being less effective than SAAP-148. Importantly, SAAP-148 and halicin acted synergistically on and biofilms but not on biofilms. The peptide, but not halicin, decreased the production of IL-12p40 upon exposure to UV-killed bacteria. This preliminary study showed that SAAP-148 and halicin alone/in combination are promising candidates to fight GNB colonizing catheters.

摘要

由于抗菌耐药菌株的出现和/或生物膜/持留菌的出现,导管相关感染(CRIs)的抗生素治疗常常失败。因此,我们研究了两种新型抗菌剂,即合成肽SAAP-148和新型抗生素哈利欣对定植于导管的革兰氏阴性菌(GNB)的疗效。评估了这两种药物对 、 和 菌株的抗菌、抗生物膜和抗持留菌活性。入选菌株从导管中分离出来,并根据它们对至少三类抗生素的耐药性和生物膜形成潜力进行选择。此外,还探索了这些药物的溶血和内毒素中和能力。与缓冲盐水相比,这两种药物在尿液和血浆中的杀菌活性均降低。SAAP-148和哈利欣以剂量依赖的方式减少了硅橡胶圆盘上24小时形成的生物膜中的细菌数量,并消除了源自暴露于抗生素的7天成熟生物膜的持留菌,哈利欣的效果不如SAAP-148。重要的是,SAAP-148和哈利欣对 和 生物膜有协同作用,但对 生物膜没有协同作用。该肽而非哈利欣在暴露于紫外线杀死的细菌后降低了IL-12p40的产生。这项初步研究表明,SAAP-148和哈利欣单独使用/联合使用有望成为对抗定植于导管的GNB的候选药物。

https://cdn.ncbi.nlm.nih.gov/pmc/blobs/5981/10741160/485e3c2bce15/antibiotics-12-01743-g001.jpg

文献AI研究员

20分钟写一篇综述,助力文献阅读效率提升50倍。

立即体验

用中文搜PubMed

大模型驱动的PubMed中文搜索引擎

马上搜索

文档翻译

学术文献翻译模型,支持多种主流文档格式。

立即体验