Suppr超能文献

OJT008 对活跃型和耐多药结核分枝杆菌的抗结核潜力:甲硫氨酸氨肽酶的体外和体外抑制作用。

Anti-Tuberculosis Potential of OJT008 against Active and Multi-Drug-Resistant Mycobacterium Tuberculosis: In Silico and In Vitro Inhibition of Methionine Aminopeptidase.

机构信息

Department of Pharmaceutical Sciences, College of Pharmacy and Health Sciences, Texas Southern University, Houston, TX 77004, USA.

Center for Infectious Disease Research, Houston Methodist Research Institute, Houston, TX 77030, USA.

出版信息

Int J Mol Sci. 2023 Dec 5;24(24):17142. doi: 10.3390/ijms242417142.

Abstract

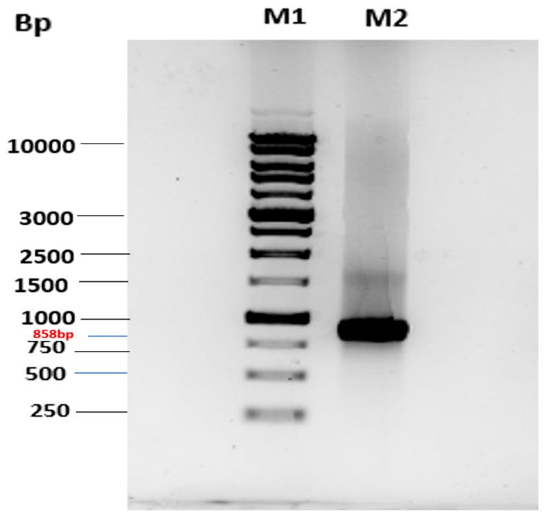
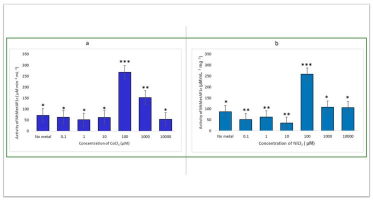
Despite the recent progress in the diagnosis of tuberculosis (TB), the chemotherapeutic management of TB continues to be challenging. (), the etiological agent of TB, is classified as the 13th leading cause of death globally. In addition, 450,000 people were reported to develop multi-drug-resistant TB globally. The current project focuses on targeting methionine aminopeptidase (MetAP), an essential protein for the viability of . MetAP is a metalloprotease that catalyzes the excision of the N-terminal methionine (NME) during protein synthesis, allowing the enzyme to be an auspicious target for the development of novel therapeutic agents for the treatment of TB. possesses two MetAP1 isoforms, MtMetAP1a and MtMetAP1c, which are vital for viability and, hence, a promising chemotherapeutic target for therapy. In this study, we cloned and overexpressed recombinant MtMetAP1c. We investigated the in vitro inhibitory effect of the novel MetAP inhibitor, OJT008, on the cobalt ion- and nickel ion-activated MtMetAP1c, and the mechanism of action was elucidated through an in silico approach. The compound's potency against replicating and multi-drug-resistant (MDR) strains was also investigated. The induction of the overexpressed recombinant MtMetAP1c was optimized at 8 h with a final concentration of 1 mM Isopropyl β-D-1-thiogalactopyranoside. The average yield from 1 L of culture for MtMetAP1c was 4.65 mg. A preliminary MtMetAP1c metal dependency screen showed optimum activation with nickel and cobalt ions occurred at 100 µM. The half-maximal inhibitory concentration (IC) values of OJT008 against MtMetAP1c activated with CoCl and NiCl were 11 µM and 40 µM, respectively. The in silico study showed OJT008 strongly binds to both metal-activated MtMetAP1c, as evidenced by strong molecular interactions and a higher binding score, thereby corroborating our result. This in silico study validated the pharmacophore's metal specificity. The potency of OJT008 against both active and MDR was <0.063 µg/mL. Our study reports OJT008 as an inhibitor of MtMetAP1c, which is potent at low micromolar concentrations against both active susceptible and MDR . These results suggest OJT008 is a potential lead compound for the development of novel small molecules for the therapeutic management of TB.

摘要

尽管结核病(TB)的诊断取得了一些新进展,但结核病的化学治疗管理仍然具有挑战性。结核分枝杆菌是结核病的病原体,被列为全球第 13 大死因。此外,全球有 45 万人报告患有耐多药结核病。本项目的重点是针对甲硫氨酸氨肽酶(MetAP),这是结核分枝杆菌生存所必需的一种关键蛋白。MetAP 是一种金属蛋白酶,可在蛋白质合成过程中催化 N 端甲硫氨酸(NME)的切除,使该酶成为开发新型治疗结核病药物的一个有前途的靶点。结核分枝杆菌有两种 MetAP1 同工酶,MtMetAP1a 和 MtMetAP1c,它们对结核分枝杆菌的生存至关重要,因此是治疗结核分枝杆菌的有希望的化学治疗靶点。在这项研究中,我们克隆并过表达了重组 MtMetAP1c。我们研究了新型 MetAP 抑制剂 OJT008 对钴离子和镍离子激活的 MtMetAP1c 的体外抑制作用,并通过计算方法阐明了其作用机制。还研究了该化合物对复制和耐多药(MDR)结核分枝杆菌的活性。通过优化诱导表达条件,在 1 mM 异丙基-β-D-1-硫代半乳糖吡喃糖苷(IPTG)诱导 8 小时后,MtMetAP1c 的表达量达到最高。从 1 L 培养物中获得 MtMetAP1c 的平均产量为 4.65mg。初步的 MtMetAP1c 金属依赖性筛选显示,镍和钴离子的最佳激活浓度为 100μM。OJT008 对 CoCl 和 NiCl 激活的 MtMetAP1c 的半数最大抑制浓度(IC)值分别为 11μM 和 40μM。计算研究表明,OJT008 与两种金属激活的 MtMetAP1c 结合牢固,这一点从强烈的分子相互作用和较高的结合评分中得到证实,从而证实了我们的结果。这项计算研究验证了药效基团的金属特异性。OJT008 对活性和 MDR 结核分枝杆菌的活性均<0.063μg/ml。我们的研究报告称,OJT008 是 MtMetAP1c 的抑制剂,在低微摩尔浓度下对活性敏感和 MDR 结核分枝杆菌均具有活性。这些结果表明,OJT008 可能是治疗结核病的新型小分子药物的潜在先导化合物。

https://cdn.ncbi.nlm.nih.gov/pmc/blobs/ec80/10742973/f3818a2c1b87/ijms-24-17142-g001.jpg

文献AI研究员

20分钟写一篇综述,助力文献阅读效率提升50倍。

立即体验

用中文搜PubMed

大模型驱动的PubMed中文搜索引擎

马上搜索

文档翻译

学术文献翻译模型,支持多种主流文档格式。

立即体验