Suppr超能文献

脯氨酸介导的小麦氧化还原调控缓解镍诱导的胁迫和土壤污染。

Proline-mediated redox regulation in wheat for mitigating nickel-induced stress and soil decontamination.

机构信息

Department of Botany, University of Agriculture, Faisalabad, Pakistan.

Department of Botany, Government College Women University, Faisalabad, Pakistan.

出版信息

Sci Rep. 2024 Jan 3;14(1):456. doi: 10.1038/s41598-023-50576-5.

Abstract

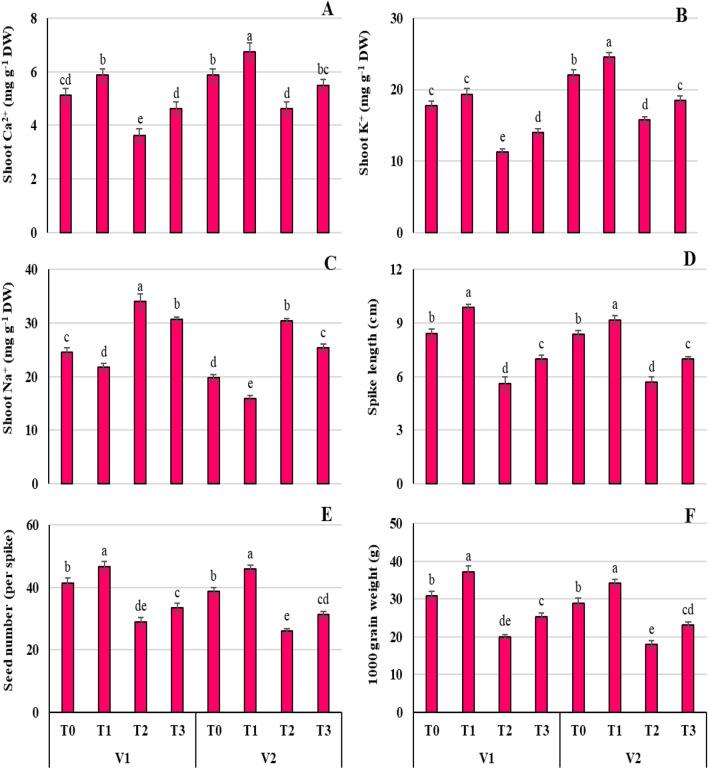
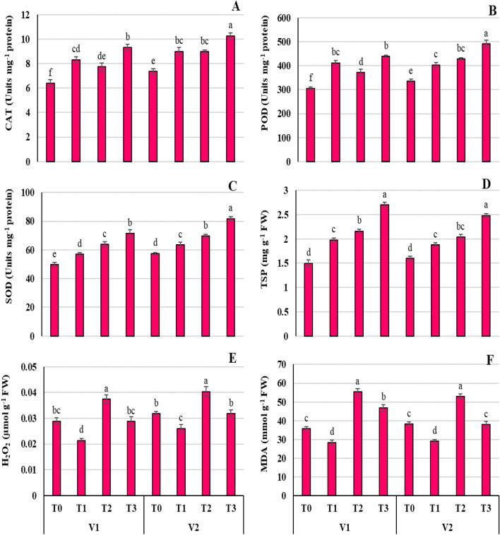
Nickel (Ni) is known as a plant micronutrient and serves as a component of many significant enzymes, however, it can be extremely toxic to plants when present in excess concentration. Scientists are looking for natural compounds that can influence the development processes of plants. Therefore, it was decided to use proline as a protective agent against Ni toxicity. Proline (Pro) is a popularly known osmoprotectant to regulate the biomass and developmental processes of plants under a variety of environmental stresses, but its role in the modulation of Ni-induced toxicity in wheat is very little explored. This investigation indicated the role of exogenously applied proline (10 mM) on two wheat varieties (V1 = Punjab-11, V2 = Ghazi-11) exposed to Ni (100 mg/kg) stress. Proline mediated a positive rejoinder on morphological, photosynthetic indices, antioxidant enzymes, oxidative stress markers, ion uptake were analyzed with and without Ni stress. Proline alone and in combination with Ni improved the growth, photosynthetic performance, and antioxidant capacity of wheat plants. However, Ni application alone exhibited strong oxidative damage through increased H2O2 (V1 = 28.96, V2 = 55.20) accumulation, lipid peroxidation (V1 = 26.09, V2 = 38.26%), and reduced translocation of macronutrients from root to shoot. Application of Pro to Ni-stressed wheat plants enhanced actions of catalase (CAT), peroxidase (POD), superoxide dismutase (SOD), and total soluble protein (TSP) contents by 45.70, 44.06, 43.40, and 25.11% in V1, and 39.32, 46.46, 42.22, 55.29% in V2, compared to control plants. The upregulation of antioxidant enzymes, proline accumulation, and uptake of essential mineral ions has maintained the equilibrium of Ni in both wheat cultivars, indicating Ni detoxification. This trial insight into an awareness that foliar application of proline can be utilized as a potent biochemical method in mitigating Ni-induced stress and might serve as a strong remedial technique for the decontamination of polluted soil particularly with metals.

摘要

镍(Ni)是一种植物微量元素,也是许多重要酶的组成部分,但当浓度过高时,它对植物可能极其有毒。科学家们正在寻找可以影响植物发育过程的天然化合物。因此,决定使用脯氨酸作为一种保护剂来抵抗 Ni 的毒性。脯氨酸(Pro)是一种广为人知的渗透调节剂,可以调节植物在各种环境胁迫下的生物量和发育过程,但它在调节小麦中 Ni 诱导毒性方面的作用还很少被探索。这项研究表明,外源脯氨酸(10 mM)对两种小麦品种(V1=旁遮普-11,V2=加兹-11)暴露于 Ni(100 mg/kg)胁迫的作用。脯氨酸介导了对形态、光合作用指标、抗氧化酶、氧化应激标志物、离子吸收的积极应答,分析了有和没有 Ni 胁迫的情况。脯氨酸单独和与 Ni 一起使用可以改善小麦植株的生长、光合作用性能和抗氧化能力。然而,单独施用 Ni 会通过增加 H2O2(V1=28.96,V2=55.20)积累、脂质过氧化(V1=26.09,V2=38.26%)和减少从根部到地上部的大量营养素转运来表现出强烈的氧化损伤。将脯氨酸施用于 Ni 胁迫下的小麦植株可增强过氧化氢酶(CAT)、过氧化物酶(POD)、超氧化物歧化酶(SOD)和总可溶性蛋白(TSP)的活性,在 V1 中分别提高 45.70%、44.06%、43.40%和 25.11%,在 V2 中分别提高 39.32%、46.46%、42.22%、55.29%,与对照植物相比。抗氧化酶的上调、脯氨酸的积累和必需矿物质离子的吸收维持了两种小麦品种中 Ni 的平衡,表明 Ni 的解毒作用。这项试验深入了解到,叶面喷施脯氨酸可以作为一种有效的生化方法来缓解 Ni 诱导的胁迫,并且可能作为一种有效的修复技术用于污染土壤特别是金属污染土壤的净化。

https://cdn.ncbi.nlm.nih.gov/pmc/blobs/8934/10764790/36612c0cce4a/41598_2023_50576_Fig1_HTML.jpg

文献AI研究员

20分钟写一篇综述,助力文献阅读效率提升50倍。

立即体验

用中文搜PubMed

大模型驱动的PubMed中文搜索引擎

马上搜索

文档翻译

学术文献翻译模型,支持多种主流文档格式。

立即体验