Suppr超能文献

SIRT1-BMAL1 通路在调节缺血性中风早期氧化应激中的作用。

The role of the SIRT1-BMAL1 pathway in regulating oxidative stress in the early development of ischaemic stroke.

机构信息

Department of Neurology, Third Hospital of Shanxi Medical University, Shanxi Bethune Hospital, Shanxi Academy of Medical Sciences Tongji Shanxi Hospital, Taiyuan, China.

The Ninth Clinical Medical College Affiliated with Shanxi Medical University, Taiyuan, China.

出版信息

Sci Rep. 2024 Jan 20;14(1):1773. doi: 10.1038/s41598-024-52120-5.

Abstract

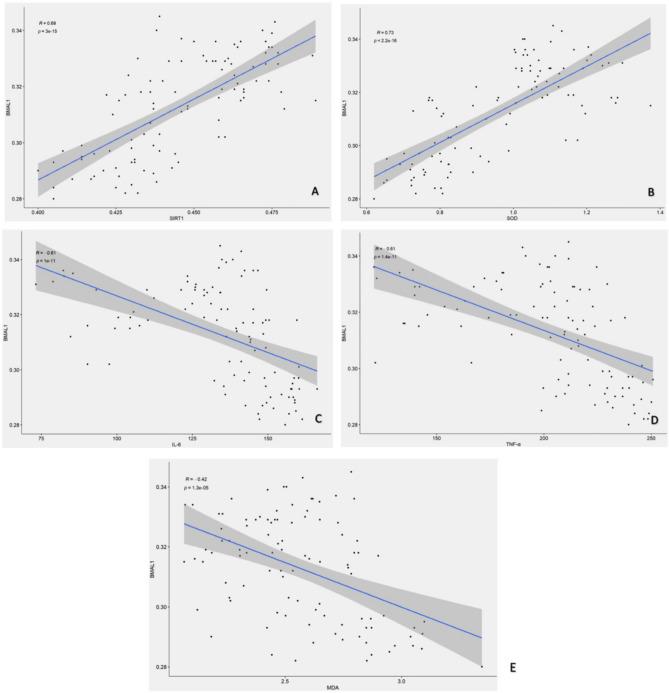
Oxidative stress is the primary cause of ischaemic stroke and is closely related to circadian rhythm. However, the mechanism by which circadian rhythm regulates oxidative stress in ischaemic stroke remains elusive. The Silent Information Regulator 1 (SIRT1) controls circadian rhythm by activating the transcription of the circadian clock core protein Basic Helix-Loop-Helix ARNT Like 1 (BMAL1) through deacetylation. Studies have shown that the SIRT1-BMAL1 pathway can regulate oxidative stress. To investigate its correlation with oxidative stress, we examined the expression levels and influencing factors of SIRT1-BMAL1 at different times in ischaemic stroke patients and analyzed their clinical indexes, oxidative stress, and inflammatory factor indicators. The expression levels of oxidative stress and inflammatory factor indicators, including malondialdehyde (MDA), superoxide dismutase (SOD), interleukin-6 (IL-6), and tumor necrosis factor-a (TNF-α), SIRT1, and BMAL1, were detected in ischaemic stroke patients within 4.5 h of onset and in non-stroke patients. Patients were divided into four subgroups based on onset time: subgroup 1 (0:00-05:59); subgroup 2 (06:00-11:59); subgroup 3 (12:00-17: 59); and subgroup 4 (18:00-23:59). Our results showed higher MDA, IL-6, and TNF-α levels, and lower SOD, SIRT1, and BMAL1 levels in ischaemic stroke patients compared to control patients (P < 0.05). Among the four subgroups, the content of MDA, IL-6, and TNF-α was highest in patients with ischaemic stroke onset from subgroup 2 (06:00-11:59), while the expression levels of SOD, BMAL1, and SIRT1 were lowest in patients with ischaemic stroke in subgroup 2. Additionally, myeloperoxidase (MPO) reached the highest value showing the same trends consistent with MDA, IL-6, and TNF-ɑ and opposite trends consistent with SOD, BMAL1, and SIRT1. However, triglycerides (TGs), total cholesterol (TC), low-density lipoprotein (LDL), high-density lipoprotein (HDL), immediate blood glucose, immediate diastolic blood pressure, immediate systolic blood pressure, and homocysteine (HCY) did not show any statistically significant circadian rhythm changes (P > 0.05). Our findings suggest that the SIRT1-BMAL1 pathway may be involved in early oxidative stress in ischaemic stroke, which may be related to MPO.

摘要

氧化应激是缺血性中风的主要原因,与昼夜节律密切相关。然而,昼夜节律调节缺血性中风中氧化应激的机制仍不清楚。沉默信息调节因子 1(SIRT1)通过去乙酰化激活生物钟核心蛋白基本螺旋-环-螺旋 ARNT 样 1(BMAL1)的转录来控制昼夜节律。研究表明,SIRT1-BMAL1 途径可以调节氧化应激。为了研究其与氧化应激的相关性,我们检测了不同时间缺血性中风患者 SIRT1-BMAL1 的表达水平和影响因素,并分析了它们的临床指标、氧化应激和炎症因子指标。在发病后 4.5 小时内检测了缺血性中风患者和非中风患者的氧化应激和炎症因子指标,包括丙二醛(MDA)、超氧化物歧化酶(SOD)、白细胞介素 6(IL-6)和肿瘤坏死因子-α(TNF-α)、SIRT1 和 BMAL1 的表达水平。患者根据发病时间分为四个亚组:亚组 1(0:00-05:59);亚组 2(06:00-11:59);亚组 3(12:00-17:59);亚组 4(18:00-23:59)。结果显示,与对照组相比,缺血性中风患者的 MDA、IL-6 和 TNF-α水平较高,SOD、SIRT1 和 BMAL1 水平较低(P<0.05)。在四个亚组中,发病时间为亚组 2(06:00-11:59)的缺血性中风患者 MDA、IL-6 和 TNF-α的含量最高,而亚组 2 缺血性中风患者 SOD、BMAL1 和 SIRT1 的表达水平最低。此外,髓过氧化物酶(MPO)达到最高值,表现出与 MDA、IL-6 和 TNF-ɑ相同的趋势,与 SOD、BMAL1 和 SIRT1 相反的趋势。然而,甘油三酯(TGs)、总胆固醇(TC)、低密度脂蛋白(LDL)、高密度脂蛋白(HDL)、即刻血糖、即刻舒张压、即刻收缩压和同型半胱氨酸(HCY)没有显示出任何具有统计学意义的昼夜节律变化(P>0.05)。我们的研究结果表明,SIRT1-BMAL1 途径可能参与缺血性中风早期的氧化应激,这可能与 MPO 有关。

https://cdn.ncbi.nlm.nih.gov/pmc/blobs/e056/10799848/f9f1648ab71d/41598_2024_52120_Fig1_HTML.jpg

文献AI研究员

20分钟写一篇综述,助力文献阅读效率提升50倍。

立即体验

用中文搜PubMed

大模型驱动的PubMed中文搜索引擎

马上搜索

文档翻译

学术文献翻译模型,支持多种主流文档格式。

立即体验