Suppr超能文献

急性术后疼痛背景下的新型阿片类药物:一篇叙述性综述。

Novel Opioids in the Setting of Acute Postoperative Pain: A Narrative Review.

作者信息

Wang Ashley, Murphy Jasper, Shteynman Lana, Daksla Neil, Gupta Abhishek, Bergese Sergio

机构信息

Department of Anesthesiology, Stony Brook University Hospital, Stony Brook, NY 11794, USA.

Renaissance School of Medicine, Stony Brook University, Stony Brook, NY 11794, USA.

出版信息

Pharmaceuticals (Basel). 2023 Dec 25;17(1):29. doi: 10.3390/ph17010029.

Abstract

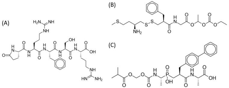
Although traditional opioids such as morphine and oxycodone are commonly used in the management of acute postoperative pain, novel opioids may play a role as alternatives that provide potent pain relief while minimizing adverse effects. In this review, we discuss the mechanisms of action, findings from preclinical studies and clinical trials, and potential advantages of several novel opioids. The more established include oliceridine (biased ligand activity to activate analgesia and downregulate opioid-related adverse events), tapentadol (mu-opioid agonist and norepinephrine reuptake inhibitor), and cebranopadol (mu-opioid agonist with nociceptin opioid peptide activity)-all of which have demonstrated success in the clinical setting when compared to traditional opioids. On the other hand, dinalbuphine sebacate (DNS; semi-synthetic mu partial antagonist and kappa agonist), dual enkephalinase inhibitors (STR-324, PL37, and PL265), and endomorphin-1 analog (CYT-1010) have shown good efficacy in preclinical studies with future plans for clinical trials. Rather than relying solely on mu-opioid receptor agonism to relieve pain and risk opioid-related adverse events (ORAEs), novel opioids make use of alternative mechanisms of action to treat pain while maintaining a safer side-effect profile, such as lower incidence of nausea, vomiting, sedation, and respiratory depression as well as reduced abuse potential.

摘要

尽管传统阿片类药物如吗啡和羟考酮常用于术后急性疼痛的管理,但新型阿片类药物可能作为替代品发挥作用,在提供强效止痛效果的同时将不良反应降至最低。在本综述中,我们讨论了几种新型阿片类药物的作用机制、临床前研究和临床试验结果以及潜在优势。较为成熟的药物包括奥里替丁(具有激活镇痛和下调阿片类药物相关不良事件的偏向配体活性)、曲马多(μ阿片受体激动剂和去甲肾上腺素再摄取抑制剂)和塞布瑞诺帕多(具有孤啡肽阿片肽活性的μ阿片受体激动剂)——与传统阿片类药物相比,所有这些药物在临床环境中均已证明有效。另一方面,癸酸地布啡诺(DNS;半合成μ部分拮抗剂和κ激动剂)、双重脑啡肽酶抑制剂(STR-324、PL37和PL265)以及内吗啡肽-1类似物(CYT-1010)在临床前研究中显示出良好疗效,并有未来进行临床试验的计划。新型阿片类药物并非仅仅依赖μ阿片受体激动作用来缓解疼痛并承担与阿片类药物相关的不良事件(ORAEs)风险,而是利用替代作用机制来治疗疼痛,同时保持更安全的副作用特征,如恶心、呕吐、镇静和呼吸抑制的发生率较低以及滥用可能性降低。

https://cdn.ncbi.nlm.nih.gov/pmc/blobs/9f93/10819619/de96f272ec69/pharmaceuticals-17-00029-g001.jpg

文献AI研究员

20分钟写一篇综述,助力文献阅读效率提升50倍。

立即体验

用中文搜PubMed

大模型驱动的PubMed中文搜索引擎

马上搜索

文档翻译

学术文献翻译模型,支持多种主流文档格式。

立即体验