Suppr超能文献

蛋白质甲基转移酶在免疫中的作用。

The Role of Protein Methyltransferases in Immunity.

机构信息

Department of Integrative Biotechnology, Sungkyunkwan University, Suwon 16419, Republic of Korea.

School of Systems Biomedical Science, Soongsil University, Seoul 06978, Republic of Korea.

出版信息

Molecules. 2024 Jan 11;29(2):360. doi: 10.3390/molecules29020360.

Abstract

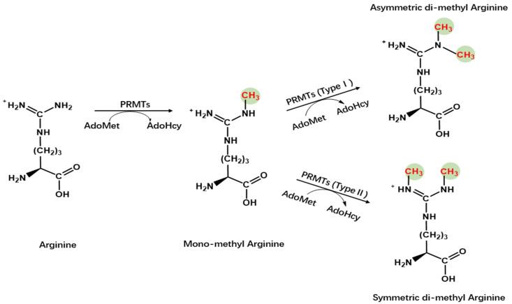
The immune system protects our body from bacteria, viruses, and toxins and removes malignant cells. Activation of immune cells requires the onset of a network of important signaling proteins. Methylation of these proteins affects their structure and biological function. Under stimulation, T cells, B cells, and other immune cells undergo activation, development, proliferation, differentiation, and manufacture of cytokines and antibodies. Methyltransferases alter the above processes and lead to diverse outcomes depending on the degree and type of methylation. In the previous two decades, methyltransferases have been reported to mediate a great variety of immune stages. Elucidating the roles of methylation in immunity not only contributes to understanding the immune mechanism but is helpful in the development of new immunotherapeutic strategies. Hence, we review herein the studies on methylation in immunity, aiming to provide ideas for new approaches.

摘要

免疫系统保护我们的身体免受细菌、病毒和毒素的侵害,并清除恶性细胞。免疫细胞的激活需要一系列重要信号蛋白的启动。这些蛋白质的甲基化会影响它们的结构和生物学功能。在刺激下,T 细胞、B 细胞和其他免疫细胞经历激活、发育、增殖、分化和细胞因子和抗体的产生。甲基转移酶改变上述过程,并根据甲基化的程度和类型导致不同的结果。在过去的二十年中,甲基转移酶被报道在多种免疫阶段中起作用。阐明甲基化在免疫中的作用不仅有助于理解免疫机制,而且有助于开发新的免疫治疗策略。因此,我们综述了免疫甲基化的研究,旨在为新方法提供思路。

https://cdn.ncbi.nlm.nih.gov/pmc/blobs/279f/10819338/e0079cf48433/molecules-29-00360-g001.jpg

文献AI研究员

20分钟写一篇综述,助力文献阅读效率提升50倍。

立即体验

用中文搜PubMed

大模型驱动的PubMed中文搜索引擎

马上搜索

文档翻译

学术文献翻译模型,支持多种主流文档格式。

立即体验