Suppr超能文献

线粒体 DNA 拷贝数在心脏代谢疾病中的作用:一项双向两样本 Mendelian 随机研究。

The role of mitochondrial DNA copy number in cardiometabolic disease: a bidirectional two-sample mendelian randomization study.

机构信息

Department of General Practice, The Affiliated Luohu Hospital of Shenzhen University, No. 47, Youti Road, Shenzhen, 518001, Guangdong, China.

Institute of Software Chinese Academy of Sciences, Beijing, Guangdong, China.

出版信息

Cardiovasc Diabetol. 2024 Jan 28;23(1):45. doi: 10.1186/s12933-023-02074-1.

Abstract

BACKGROUND

This study used a bidirectional 2-sample Mendelian randomization study to investigate the potential causal links between mtDNA copy number and cardiometabolic disease (obesity, hypertension, hyperlipidaemia, type 2 diabetes [T2DM], coronary artery disease [CAD], stroke, ischemic stroke, and heart failure).

METHODS

Genetic associations with mtDNA copy number were obtained from a genome-wide association study (GWAS) summary statistics from the UK biobank (n = 395,718) and cardio-metabolic disease were from largest available GWAS summary statistics. Inverse variance weighting (IVW) was conducted, with weighted median, MR-Egger, and MR-PRESSO as sensitivity analyses. We repeated this in the opposite direction using instruments for cardio-metabolic disease.

RESULTS

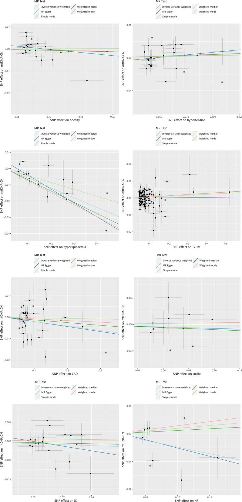
Genetically predicted mtDNA copy number was not associated with risk of obesity (P = 0.148), hypertension (P = 0.515), dyslipidemia (P = 0.684), T2DM (P = 0.631), CAD (P = 0.199), stroke (P = 0.314), ischemic stroke (P = 0.633), and heart failure (P = 0.708). Regarding the reverse directions, we only found that genetically predicted dyslipidemia was associated with decreased levels of mtDNA copy number in the IVW analysis (β= - 0.060, 95% CI - 0.044 to - 0.076; P = 2.416e-14) and there was suggestive of evidence for a potential causal association between CAD and mtDNA copy number (β= - 0.021, 95% CI - 0.003 to - 0.039; P = 0.025). Sensitivity and replication analyses showed the stable findings.

CONCLUSIONS

Findings of this Mendelian randomization study did not support a causal effect of mtDNA copy number in the development of cardiometabolic disease, but found dyslipidemia and CAD can lead to reduced mtDNA copy number. These findings have implications for mtDNA copy number as a biomarker of dyslipidemia and CAD in clinical practice.

摘要

背景

本研究采用双向 2 样本孟德尔随机化研究,探讨线粒体 DNA 拷贝数与心脏代谢疾病(肥胖、高血压、血脂异常、2 型糖尿病 [T2DM]、冠心病 [CAD]、中风、缺血性中风和心力衰竭)之间潜在的因果关系。

方法

从英国生物库(n=395718)的全基因组关联研究(GWAS)汇总统计数据中获得与 mtDNA 拷贝数相关的遗传关联,从最大的可用 GWAS 汇总统计数据中获得心脏代谢疾病的遗传关联。采用逆方差加权(IVW)进行分析,并用加权中位数、MR-Egger 和 MR-PRESSO 进行敏感性分析。我们使用心脏代谢疾病的工具在相反的方向上重复了这一过程。

结果

遗传预测的 mtDNA 拷贝数与肥胖(P=0.148)、高血压(P=0.515)、血脂异常(P=0.684)、T2DM(P=0.631)、CAD(P=0.199)、中风(P=0.314)、缺血性中风(P=0.633)和心力衰竭(P=0.708)的风险无关。关于相反的方向,我们只发现遗传预测的血脂异常与 IVW 分析中 mtDNA 拷贝数的降低有关(β= - 0.060,95%CI - 0.044 至 - 0.076;P=2.416e-14),并且 CAD 和 mtDNA 拷贝数之间存在潜在的因果关联的证据(β= - 0.021,95%CI - 0.003 至 - 0.039;P=0.025)。敏感性和复制分析显示了稳定的发现。

结论

这项孟德尔随机化研究的结果不支持 mtDNA 拷贝数在心脏代谢疾病发展中的因果作用,但发现血脂异常和 CAD 可导致 mtDNA 拷贝数降低。这些发现对 mtDNA 拷贝数作为血脂异常和 CAD 的临床实践中的生物标志物具有意义。

https://cdn.ncbi.nlm.nih.gov/pmc/blobs/33b8/10823732/365913a6fa1d/12933_2023_2074_Fig1_HTML.jpg

文献AI研究员

20分钟写一篇综述,助力文献阅读效率提升50倍。

立即体验

用中文搜PubMed

大模型驱动的PubMed中文搜索引擎

马上搜索

文档翻译

学术文献翻译模型,支持多种主流文档格式。

立即体验