Suppr超能文献

破骨细胞和益生菌可介导 NK、γδ T 和 CD3+ T 细胞的显著扩增、功能激活和增强:在癌症免疫治疗中的应用。

Osteoclasts and Probiotics Mediate Significant Expansion, Functional Activation and Supercharging in NK, γδ T, and CD3+ T Cells: Use in Cancer Immunotherapy.

机构信息

Division of Oral Biology and Medicine, School of Dentistry and Medicine, University of California, Los Angeles, CA 90095, USA.

The Jonsson Comprehensive Cancer Center, School of Dentistry and Medicine, University of California, Los Angeles, CA 90095, USA.

出版信息

Cells. 2024 Jan 24;13(3):213. doi: 10.3390/cells13030213.

Abstract

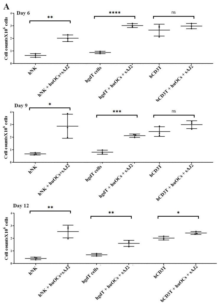
Our previous studies have introduced osteoclasts (OCs) as major activators of NK cells. It was found that OCs exhibit the capabilities of inducing cell expansion as well as increasing the cytotoxic activity of NK cells by granule release and increasing the secretion of TNF-α and TRAIL, leading to increased lysis of tumors in short-term as well as long-term periods, respectively. OC- induced expanded NK cells were named supercharged NK cells (sNK) due to their significantly high functional activity as well as their significantly higher cell expansion rate. It is, however, unclear whether the OC-mediated effect in NK cells is specific or whether other cytotoxic immune cells can also be expanded and activated by OCs. We chose to focus on γδ T cells and pan T cells, which also include CD8+ T cells. In this paper, we report that OCs are capable of expanding and functionally activating both γδ T cells and pan T cells. Expanded γδ T and pan T cells were capable of secreting high levels of INF-γ, albeit with different dynamics to those of NK cells, and, moreover, they are unable to kill NK-specific targets. Since we used humanized-BLT (hu-BLT) mice as a model of human disease, we next determined whether NK and T cell activation through OCs is also evident in cells obtained from hu-BLT mice. Similar to humans, OCs were capable of increasing the cell expansion and secretion of IFN-γ in the culture of either NK or T cells from hu-BLT mice, providing yet further evidence that these mice are appropriate models to study human disease. Therefore, these studies indicated that CD3+ T or γδ T cells can proliferate and be supercharged by OCs similar to the NK cells; thus, they can be used individually or in combination in the cell therapy of cancers.

摘要

我们之前的研究介绍了破骨细胞 (OCs) 作为 NK 细胞的主要激活物。研究发现,OCs 通过颗粒释放具有诱导细胞扩增的能力,并通过增加 TNF-α 和 TRAIL 的分泌来增加 NK 细胞的细胞毒性活性,从而分别在短期和长期内增加肿瘤的溶解。OC 诱导的扩增 NK 细胞被命名为超荷 NK 细胞 (sNK),因为它们具有显著高的功能活性和显著高的细胞扩增率。然而,OC 介导的 NK 细胞效应是否具有特异性,或者其他细胞毒性免疫细胞是否也可以被 OCs 扩增和激活,尚不清楚。我们选择专注于 γδ T 细胞和 pan T 细胞,其中也包括 CD8+T 细胞。在本文中,我们报告称 OCs 能够扩增和功能性激活 γδ T 细胞和 pan T 细胞。扩增的 γδ T 和 pan T 细胞能够分泌高水平的 INF-γ,尽管其动力学与 NK 细胞不同,而且它们不能杀死 NK 特异性靶标。由于我们使用人源化-BLT (hu-BLT) 小鼠作为人类疾病的模型,我们接下来确定通过 OCs 激活 NK 和 T 细胞是否也在来自 hu-BLT 小鼠的细胞中显现。与人类相似,OCs 能够增加 hu-BLT 小鼠 NK 或 T 细胞培养物中的细胞扩增和 IFN-γ 分泌,进一步证明这些小鼠是研究人类疾病的合适模型。因此,这些研究表明,CD3+T 或 γδ T 细胞可以像 NK 细胞一样通过 OCs 增殖和超荷;因此,它们可以单独或组合用于癌症的细胞治疗。

https://cdn.ncbi.nlm.nih.gov/pmc/blobs/2279/10854567/16956f8f443c/cells-13-00213-g001.jpg

文献AI研究员

20分钟写一篇综述,助力文献阅读效率提升50倍。

立即体验

用中文搜PubMed

大模型驱动的PubMed中文搜索引擎

马上搜索

文档翻译

学术文献翻译模型,支持多种主流文档格式。

立即体验