Suppr超能文献

敌亦或友?天然生物活性抗氧化剂在炎症治疗中的适应原和非剂量依赖性效应。

Enemies or Allies? Hormetic and Apparent Non-Dose-Dependent Effects of Natural Bioactive Antioxidants in the Treatment of Inflammation.

机构信息

Departamento de Química Inorgánica, Facultade de Ciencias, Campus Terra, Universidade de Santiago de Compostela, 27002 Lugo, Spain.

Departamento de Química Inorgánica, Facultade de Química, Universidade de Santiago de Compostela, 15782 Santiago de Compostela, Spain.

出版信息

Int J Mol Sci. 2024 Feb 4;25(3):1892. doi: 10.3390/ijms25031892.

Abstract

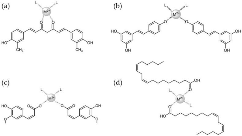
This review aims to analyze the emerging number of studies on biological media that describe the unexpected effects of different natural bioactive antioxidants. Hormetic effects, with a biphasic response depending on the dose, or activities that are apparently non-dose-dependent, have been described for compounds such as resveratrol, curcumin, ferulic acid or linoleic acid, among others. The analysis of the reported studies confirms the incidence of these types of effects, which should be taken into account by researchers, discarding initial interpretations of imprecise methodologies or measurements. The incidence of these types of effects should enhance research into the different mechanisms of action, particularly those studied in the field of basic research, that will help us understand the causes of these unusual behaviors, depending on the dose, such as the inactivation of the signaling pathways of the immune defense system. Antioxidative and anti-inflammatory activities in biological media should be addressed in ways that go beyond a mere statistical approach. In this work, some of the research pathways that may explain the understanding of these activities are revised, paying special attention to the ability of the selected bioactive compounds (curcumin, resveratrol, ferulic acid and linoleic acid) to form metal complexes and the activity of these complexes in biological media.

摘要

本次综述旨在分析新兴的生物介质研究数量,这些研究描述了不同天然生物活性抗氧化剂的意外作用。已经描述了具有剂量依赖性双相反应或明显非剂量依赖性活性的应激效应,如白藜芦醇、姜黄素、阿魏酸或亚油酸等化合物。对报告研究的分析证实了这些类型的影响的发生率,研究人员应考虑这些影响,摒弃初始解释的不精确方法或测量。这些类型的影响的发生率应增强对不同作用机制的研究,特别是那些在基础研究领域研究的机制,这将帮助我们了解这些异常行为的原因,取决于剂量,如免疫系统信号通路的失活。抗氧化和抗炎活性在生物介质中应该以超越单纯统计方法的方式来解决。在这项工作中,回顾了一些可能有助于理解这些活性的研究途径,特别关注选定的生物活性化合物(姜黄素、白藜芦醇、阿魏酸和亚油酸)形成金属配合物的能力以及这些配合物在生物介质中的活性。

https://cdn.ncbi.nlm.nih.gov/pmc/blobs/4aa1/10855620/f3add0d20d73/ijms-25-01892-g003.jpg

文献AI研究员

20分钟写一篇综述,助力文献阅读效率提升50倍。

立即体验

用中文搜PubMed

大模型驱动的PubMed中文搜索引擎

马上搜索

文档翻译

学术文献翻译模型,支持多种主流文档格式。

立即体验