Suppr超能文献

晚期肺癌患者免疫治疗原发性耐药相关差异表达基因。

Differentially Expressed Genes Involved in Primary Resistance to Immunotherapy in Patients with Advanced-Stage Pulmonary Cancer.

机构信息

Department of Pathology, Institute for Biomedical Research of Salamanca (IBSAL), University Hospital of Salamanca, University of Salamanca, 37007 Salamanca, Spain.

Biomedical Research Networking Centers-Oncology (CIBERONC), 28029 Madrid, Spain.

出版信息

Int J Mol Sci. 2024 Feb 8;25(4):2048. doi: 10.3390/ijms25042048.

Abstract

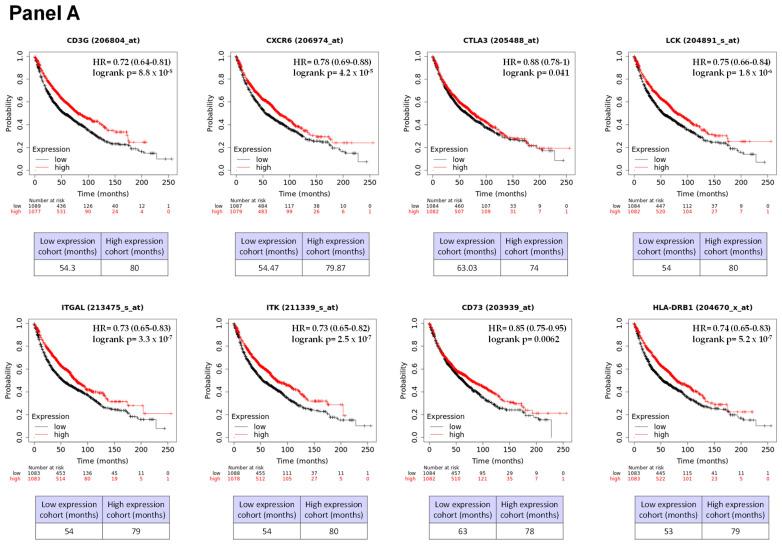
In the last few years, nivolumab has become the standard of care for advanced-stage lung cancer patients. Unfortunately, up to 60% of patients do not respond to this treatment. In our study, we identified variations in gene expression related to primary resistance to immunotherapy. Bronchoscopy biopsies were obtained from advanced non-small cell lung cancer (NSCLC) patients previously characterized as responders or non-responders after nivolumab treatment. Ten tumor biopsies (from three responders and seven non-responders) were analyzed by the differential expression of 760 genes using the NanoString nCounter platform. These genes are known to be involved in the response to anti-PD1/PD-L1 therapy. All the patients were treated with nivolumab. Examining the dysregulated expression of 24 genes made it possible to predict the response to nivolumab treatment. Supervised analysis of the gene expression profile (GEP) revealed that responder patients had significantly higher levels of expression of and than did non-responder patients. In contrast, and genes had significantly lower expression levels than non-responder patients. These findings were validated as predictive biomarkers in an independent series of 201 patients treated with nivolumab (22 hepatocellular carcinomas, 14 non-squamous cell lung carcinomas, 5 head and neck squamous cell carcinomas, 1 ureter/renal pelvis carcinoma, 120 melanomas, 4 bladder carcinomas, 31 renal cell carcinomas, and 4 squamous cell lung carcinomas). ROC curve analysis showed that the expression levels of , and were the best predictors of response to nivolumab. Further, 13/24 genes showed an adverse impact on overall survival (OS) in an independent, large series of patients with NSCLC (2166 cases). In summary, we found a strong association between the global GEP of advanced NSCLC and the response to nivolumab. The classification of NSCLC patients based on GEP enabled us to identify those patients who genuinely benefited from treatment with immune checkpoint inhibitors (ICIs). We also demonstrated that abnormal expression of most of the markers comprising the genomic signature has an adverse influence on OS, making them significant markers for therapeutic decision-making. Additional prospective studies in larger series of patients are required to confirm the clinical utility of these biomarkers.

摘要

在过去的几年中,纳武利尤单抗已成为晚期肺癌患者的标准治疗方法。不幸的是,多达 60%的患者对此治疗无反应。在我们的研究中,我们确定了与免疫治疗原发性耐药相关的基因表达变化。对先前接受纳武利尤单抗治疗后被鉴定为应答者或无应答者的晚期非小细胞肺癌(NSCLC)患者进行支气管镜活检。使用 NanoString nCounter 平台分析了来自 10 个肿瘤活检(来自 3 个应答者和 7 个无应答者)的 760 个基因的差异表达。这些基因已知与抗 PD1/PD-L1 治疗的反应有关。所有患者均接受纳武利尤单抗治疗。检查 24 个基因的失调表达,有可能预测纳武利尤单抗治疗的反应。基因表达谱(GEP)的监督分析表明,应答者患者的 和 表达水平明显高于无应答者患者。相比之下, 和 基因的表达水平明显低于无应答者患者。在接受纳武利尤单抗治疗的 201 例患者的独立系列中(22 例肝细胞癌、14 例非鳞状细胞肺癌、5 例头颈部鳞状细胞癌、1 例输尿管/肾盂癌、120 例黑色素瘤、4 例膀胱癌、31 例肾细胞癌和 4 例鳞状细胞肺癌),验证了这些发现作为预测生物标志物。ROC 曲线分析表明, 和 表达水平是预测纳武利尤单抗反应的最佳指标。此外,在非小细胞肺癌患者的一个独立、大型系列中,13/24 个基因显示对总生存期(OS)有不利影响(2166 例)。总之,我们发现晚期 NSCLC 的全球 GEP 与纳武利尤单抗的反应之间存在很强的关联。基于 GEP 的 NSCLC 患者分类使我们能够识别出真正从免疫检查点抑制剂(ICI)治疗中受益的患者。我们还表明,构成基因组特征的大多数标志物的异常表达对 OS 有不利影响,使其成为治疗决策的重要标志物。需要在更大的患者系列中进行额外的前瞻性研究,以确认这些生物标志物的临床实用性。

https://cdn.ncbi.nlm.nih.gov/pmc/blobs/6ec7/10889097/20641b241924/ijms-25-02048-g001.jpg

文献AI研究员

20分钟写一篇综述,助力文献阅读效率提升50倍。

立即体验

用中文搜PubMed

大模型驱动的PubMed中文搜索引擎

马上搜索

文档翻译

学术文献翻译模型,支持多种主流文档格式。

立即体验