Zhang Jia-Wen, Jiang Mao-Min, Yang Shi-Ying
School of Education, Silliman University, Dumaguete, 6200, Philippines.
Xiamen Institute of Software Technology, Xiamen, Fujian, People's Republic of China.
Psychol Res Behav Manag. 2024 Feb 20;17:627-640. doi: 10.2147/PRBM.S442784. eCollection 2024.
To explore the influence of bully victims on the suicidal tendencies of college students, and the moderating role of teacher emotional support and family support in the relationship between bully victims and college students' suicidal tendencies, in order to provide a reference for the effective intervention of college students' suicide behavior.
Based on a survey of 15,560 college students. Multiple stepwise regression and Interaction analysis explore the impact of the bully victimization on college students' suicidal tendencies and the moderating role of family support and teacher emotional support in the relationship between the bully victim and college students' suicidal tendencies.
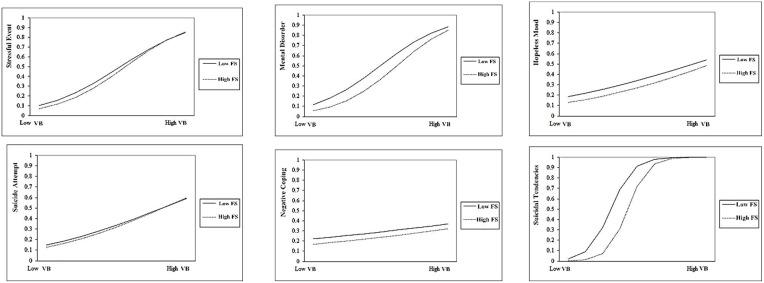
This study found that the Suicidal Tendencies score of college students was 19.79 points, indicating that some college students have a risk of suicidal tendencies; secondly, verbal bullying ( = 0.084, <0.001), physical bullying ( = 0.222, <0.001) and social relationship bullying ( = 0.122, <0.001) have a positive and significant impact on the suicidal tendencies of college students; in addition, family support and teacher emotional support have a significant regulatory effect on the bully victim and college students Suicidal Tendencies and family support. The regulating effect was significantly higher than that of teacher emotional support.
Chinese college students have the risk of suicidal tendencies; peer bullying victimization is an important reason for affecting college students' suicidal tendencies, teacher emotional support is a protective factor for bully victims to affect college students' suicidal tendencies, and family support has a significant moderating effect on the bully victim and college students' suicidal tendencies. Therefore, it is necessary to actively adopt home-school linkage and home-school communication to reduce campus violence and increase the psychological resilience of college students.
探讨受欺凌受害者对大学生自杀倾向的影响,以及教师情感支持和家庭支持在受欺凌受害者与大学生自杀倾向关系中的调节作用,为大学生自杀行为的有效干预提供参考。
基于对15560名大学生的调查。采用多重逐步回归和交互分析,探讨受欺凌经历对大学生自杀倾向的影响,以及家庭支持和教师情感支持在受欺凌受害者与大学生自杀倾向关系中的调节作用。
本研究发现,大学生自杀倾向得分19.79分,表明部分大学生存在自杀倾向风险;其次,言语欺凌(β = 0.084,p < 0.001)、身体欺凌(β = 0.222,p < 0.001)和社交关系欺凌(β = 0.122,p < 0.001)对大学生自杀倾向有正向显著影响;此外,家庭支持和教师情感支持对受欺凌受害者与大学生自杀倾向有显著调节作用,且家庭支持的调节作用显著高于教师情感支持。
中国大学生存在自杀倾向风险;同伴欺凌受害是影响大学生自杀倾向的重要原因,教师情感支持是受欺凌受害者影响大学生自杀倾向的保护因素,家庭支持对受欺凌受害者与大学生自杀倾向有显著调节作用。因此,有必要积极采取家校联动、家校沟通措施,减少校园暴力,增强大学生心理韧性。