Suppr超能文献

美好生活的八项基本要素有助于减缓生物衰老过程:基于 NHANES 2007-2010 数据的横断面研究。

Better Life's Essential 8 contributes to slowing the biological aging process: a cross-sectional study based on NHANES 2007-2010 data.

机构信息

Exercise Biological Center, China Institute of Sport Science, Beijing, China.

Physical Education College, Hebei Normal University, Shijiazhuang, China.

出版信息

Front Public Health. 2024 Mar 13;12:1295477. doi: 10.3389/fpubh.2024.1295477. eCollection 2024.

Abstract

OBJECTIVE

To investigate the relationship between Life's Essential 8 (LE8) and Phenotypic Age Acceleration (PhenoAgeAccel) in United States adults and to explore the impact of LE8 on phenotypic biological aging, thereby providing references for public health policies and health education.

METHODS

Utilizing data from the National Health and Nutrition Examination Survey (NHANES) conducted between 2007 and 2010, this cross-sectional study analyzed 7,339 adults aged 20 and above. Comprehensive assessments of LE8, PhenoAgeAccel, and research covariates were achieved through the integration of Demographics Data, Dietary Data, Laboratory Data, and Questionnaire Data derived from NHANES. Weighted generalized linear regression models and restricted cubic spline plots were employed to analyze the linear and non-linear associations between LE8 and PhenoAgeAccel, along with gender subgroup analysis and interaction effect testing.

RESULTS

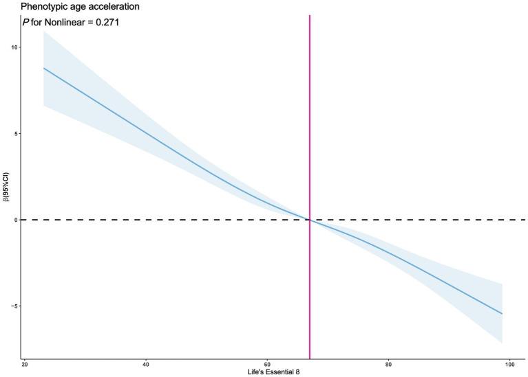
(1) Dividing the 2007-2010 NHANES cohort into quartiles based on LE8 unveiled significant disparities in age, gender, race, body mass index, education level, marital status, poverty-income ratio, smoking and drinking statuses, diabetes, hypertension, hyperlipidemia, phenotypic age, PhenoAgeAccel, and various biological markers ( < 0.05). Mean cell volume demonstrated no intergroup differences ( > 0.05). (2) The generalized linear regression weighted models revealed a more pronounced negative correlation between higher quartiles of LE8 (Q2, Q3, and Q4) and PhenoAgeAccel compared to the lowest LE8 quartile in both crude and fully adjusted models ( < 0.05). This trend was statistically significant ( < 0.001) in the full adjustment model. Gender subgroup analysis within the fully adjusted models exhibited a significant negative relationship between LE8 and PhenoAgeAccel in both male and female participants, with trend tests demonstrating significant results ( < 0.001 for males and  = 0.001 for females). (3) Restricted cubic spline (RCS) plots elucidated no significant non-linear trends between LE8 and PhenoAgeAccel overall and in gender subgroups ( for non-linear > 0.05). (4) Interaction effect tests denoted no interaction effects between the studied stratified variables such as age, gender, race, education level, and marital status on the relationship between LE8 and PhenoAgeAccel ( for interaction > 0.05). However, body mass index and diabetes manifested interaction effects ( for interaction < 0.05), suggesting that the influence of LE8 on PhenoAgeAccel might vary depending on an individual's BMI and diabetes status.

CONCLUSION

This study, based on NHANES data from 2007-2010, has revealed a significant negative correlation between LE8 and PhenoAgeAccel, emphasizing the importance of maintaining a healthy lifestyle in slowing down the biological aging process. Despite the limitations posed by the study's design and geographical constraints, these findings provide a scientific basis for the development of public health policies focused on healthy lifestyle practices. Future research should further investigate the causal mechanisms underlying the relationship between LE8 and PhenoAgeAccel and consider cross-cultural comparisons to enhance our understanding of healthy aging.

摘要

目的

探讨美国成年人生命基本 8 项指标(LE8)与表型年龄加速(PhenoAgeAccel)之间的关系,并探讨 LE8 对表型生物衰老的影响,为公共卫生政策和健康教育提供参考。

方法

利用 2007 年至 2010 年进行的国家健康与营养调查(NHANES)的数据,对 20 岁及以上的 7339 名成年人进行了这项横断面研究。通过整合 Demographics Data、Dietary Data、Laboratory Data 和来自 NHANES 的 Questionnaire Data,对 LE8、PhenoAgeAccel 以及研究协变量进行了全面评估。采用加权广义线性回归模型和限制立方样条图分析了 LE8 和 PhenoAgeAccel 之间的线性和非线性关系,并进行了性别亚组分析和交互作用检验。

结果

(1)根据 2007-2010 年 NHANES 队列将 LE8 分为四分位组,发现年龄、性别、种族、体重指数、教育水平、婚姻状况、贫困收入比、吸烟和饮酒状况、糖尿病、高血压、高血脂、表型年龄、PhenoAgeAccel 和各种生物标志物在不同组间存在显著差异( < 0.05)。平均细胞体积在组间无差异( > 0.05)。(2)加权广义线性回归模型显示,与 LE8 最低四分位组相比,LE8 较高四分位组(Q2、Q3 和 Q4)与 PhenoAgeAccel 之间存在更显著的负相关,无论在粗调整和完全调整模型中均如此( < 0.05)。在完全调整模型中,这种趋势具有统计学意义( < 0.001)。完全调整模型中的性别亚组分析显示,LE8 和 PhenoAgeAccel 之间存在显著负相关,男性和女性参与者均如此,趋势检验结果具有统计学意义(男性 < 0.001,女性 = 0.001)。(3)限制立方样条(RCS)图显示,LE8 和 PhenoAgeAccel 之间总体以及在性别亚组中均无显著的非线性趋势( for non-linear > 0.05)。(4)交互作用检验表明,在研究的分层变量(如年龄、性别、种族、教育水平和婚姻状况)之间,LE8 和 PhenoAgeAccel 之间的关系没有交互作用( for interaction > 0.05)。然而,体重指数和糖尿病存在交互作用( for interaction < 0.05),这表明 LE8 对 PhenoAgeAccel 的影响可能因个体的 BMI 和糖尿病状况而异。

结论

本研究基于 2007-2010 年 NHANES 数据,揭示了 LE8 与 PhenoAgeAccel 之间存在显著的负相关,强调了保持健康生活方式对于减缓生物衰老过程的重要性。尽管研究设计和地理限制存在一定局限性,但这些发现为制定以健康生活方式实践为重点的公共卫生政策提供了科学依据。未来的研究应进一步探讨 LE8 与 PhenoAgeAccel 之间关系的因果机制,并考虑跨文化比较,以加深我们对健康老龄化的理解。

https://cdn.ncbi.nlm.nih.gov/pmc/blobs/ddce/10965682/6d1b253fe8bb/fpubh-12-1295477-g001.jpg

文献AI研究员

20分钟写一篇综述,助力文献阅读效率提升50倍。

立即体验

用中文搜PubMed

大模型驱动的PubMed中文搜索引擎

马上搜索

文档翻译

学术文献翻译模型,支持多种主流文档格式。

立即体验