Suppr超能文献

评估KL-6在间质性肺疾病患者中的诊断和治疗意义。

Evaluating the diagnostic and therapeutic significance of KL-6 in patients with interstitial lung diseases.

作者信息

Wang Ting, Yao Yihao, Wang Yun, Wei Wei, Yin Botao, Huang Min, Yuan Peihong, Chen Rujia, Wang Feng, Wu Shiji, Hou Hongyan

机构信息

Department of Laboratory Medicine, Tongji Hospital, Tongji Medical College, Huazhong University of Science and Technology, Wuhan, China.

Department of Radiology, Tongji Hospital, Tongji Medical College, Huazhong University of Science and Technology, Wuhan, China.

出版信息

Heliyon. 2024 Mar 8;10(7):e27561. doi: 10.1016/j.heliyon.2024.e27561. eCollection 2024 Apr 15.

Abstract

BACKGROUND

This study aimed to assess the diagnostic value of Krebs von den Lungen-6 (KL-6), Surfactant protein-A (SP-A), SP-D and molecular matrixmetalloproteinase-7 (MMP-7) in discriminating patients with interstitial lung diseases (ILDs) from disease control subjects.

METHODS

Serum levels of KL-6, SP-A, SP-D and MMP-7 were measured in both the ILD and non-ILD (NILD) groups. Receiver operating characteristic (ROC) curve analysis was conducted to evaluate the diagnostic potential of these markers and laboratory indices. High-resolution computed tomography (HRCT) fibrosis scores were determined, and their correlation with the serum markers was analyzed.

RESULTS

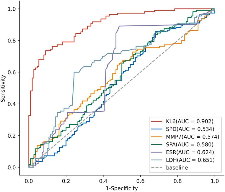
Serum levels of KL-6 and MMP-7 were significantly elevated in the ILD group compared to the control group, while no significant differences were observed for SP-A and SP-D. ROC analysis of KL-6 demonstrated superior diagnostic accuracy, with a sensitivity of 76.36%, specificity of 91.07%, and an area under curve (AUC) of 0.902 (95%CI 0.866-0.945). These findings were consistent across an additional cohort. Correlation analysis revealed a link between KL-6 levels at initial diagnosis and HRCT fibrosis scores, indicating disease severity. Moreover, a negative correlation was found between KL-6 and pulmonary function indices, reflecting disease progression. Patients with increased 12-month HRCT fibrosis score showed higher lactate dehydrogenase (LDH) levels, with LDH exhibiting an AUC of 0.767 (95% CI: 0.520-0.927) as a predictor of progression.

CONCLUSIONS

Serum KL-6 detection proves to be a valuable tool for accurately distinguishing ILDs from control subjects. While KL-6 shows a correlation with HRCT fibrosis scores and a negative association with pulmonary function indices, its predictive value for ILDs prognosis is limited.

TRIAL REGISTRATION

This study received retrospective approval from the Ethical Committee of Tongji Hospital, Tongji Medical College, Huazhong University of Science and Technology, Wuhan, China (institutional review board ID: TJ-IRB20210331, date: 2021.03.30).

摘要

背景

本研究旨在评估肺癌相关抗原6(KL-6)、表面活性蛋白A(SP-A)、SP-D和分子基质金属蛋白酶-7(MMP-7)在鉴别间质性肺疾病(ILD)患者与疾病对照受试者中的诊断价值。

方法

测定ILD组和非ILD(NILD)组血清中KL-6、SP-A、SP-D和MMP-7的水平。进行受试者操作特征(ROC)曲线分析以评估这些标志物和实验室指标的诊断潜力。确定高分辨率计算机断层扫描(HRCT)纤维化评分,并分析其与血清标志物的相关性。

结果

与对照组相比,ILD组血清中KL-6和MMP-7水平显著升高,而SP-A和SP-D未观察到显著差异。KL-6的ROC分析显示出卓越的诊断准确性,敏感性为76.36%,特异性为91.07%,曲线下面积(AUC)为0.902(95%CI 0.866 - 0.945)。这些结果在另一队列中也一致。相关性分析揭示了初始诊断时KL-6水平与HRCT纤维化评分之间的联系,表明疾病严重程度。此外,发现KL-6与肺功能指标呈负相关,反映疾病进展。12个月HRCT纤维化评分增加的患者乳酸脱氢酶(LDH)水平较高,LDH作为进展预测指标的AUC为0.767(95%CI:0.520 - 0.927)。

结论

血清KL-6检测被证明是准确区分ILD患者与对照受试者的有价值工具。虽然KL-6与HRCT纤维化评分相关且与肺功能指标呈负相关,但其对ILD预后的预测价值有限。

试验注册

本研究获得了中国武汉华中科技大学同济医学院附属同济医院伦理委员会的回顾性批准(机构审查委员会编号:TJ-IRB20210331,日期:2021.03.30)。

https://cdn.ncbi.nlm.nih.gov/pmc/blobs/dccc/10979234/c500bcc90558/gr1.jpg

文献AI研究员

20分钟写一篇综述,助力文献阅读效率提升50倍。

立即体验

用中文搜PubMed

大模型驱动的PubMed中文搜索引擎

马上搜索

文档翻译

学术文献翻译模型,支持多种主流文档格式。

立即体验