Suppr超能文献

作为治疗多发性骨髓瘤的c-Myc抑制剂的2-亚氨基苯并咪唑的设计、合成及活性评价

Design, synthesis, and activity evaluation of 2-iminobenzimidazoles as c-Myc inhibitors for treating multiple myeloma.

作者信息

Li Shihao, Wang Yinchuan, Yin Jiacheng, Li Kaihang, Liu Linlin, Gao Jian

机构信息

Jiangsu Key Laboratory of New Drug Research and Clinical Pharmacy, Xuzhou Medical University, Xuzhou, Jiangsu 221004, PR China.

College of Medical Imaging, Xuzhou Medical University, Xuzhou, Jiangsu 221004, PR China.

出版信息

Heliyon. 2024 Mar 26;10(7):e28411. doi: 10.1016/j.heliyon.2024.e28411. eCollection 2024 Apr 15.

Abstract

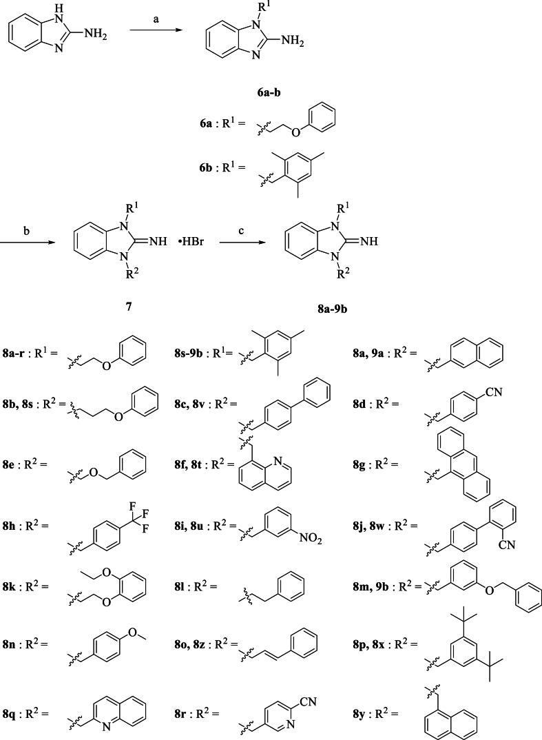
Multiple myeloma (MM) is a plasma cell malignancy that remains incurable and poses a significant threat to global public health. The multifunctional transcription factor c-Myc plays a crucial role in various cellular processes and is closely associated with MM progression. As part of the basic-helix-loop-helix-leucine zipper (bHLHZip) family, c-Myc forms heterodimers with its obligate partner Max, binds to the Enhancer-box (E-box) of DNA, and ultimately co-regulates gene expression. Therefore, impeding the capacity for heterodimerization to bind to DNA represents a favored strategy in thwarting c-Myc transcription. In this study, we first synthesized a series of novel 2-iminobenzimidazole derivatives and further estimated their potential anti-MM activity. Notably, among all the derivatives, and demonstrated remarkable inhibitory activity against RPMI-8226 and U266 cells, with IC values of 0.85 μM and 0.97 μM for compound , and 0.96 μM and 0.89 μM for compound . Western blot and dual-luciferase reporter assays demonstrated that compounds and effectively suppressed both c-Myc protein expression and transcriptional activity of the c-Myc promoter in RPMI-8226 and U266 cells. Furthermore, these compounds induced apoptosis and G1 cell cycle arrest in the aforementioned MM cells. Molecular docking studies revealed that and exhibited strong binding affinity to the interface between c-Myc/Max and E-box of DNA. Taken together, our findings suggest that further investigations are warranted for potential therapeutic applications of and for c-Myc-related diseases.

摘要

多发性骨髓瘤(MM)是一种浆细胞恶性肿瘤,目前仍无法治愈,对全球公共卫生构成重大威胁。多功能转录因子c-Myc在各种细胞过程中起着关键作用,与MM进展密切相关。作为碱性螺旋-环-螺旋-亮氨酸拉链(bHLHZip)家族的一员,c-Myc与其专一性伴侣Max形成异二聚体,结合到DNA的增强子盒(E-box)上,最终共同调节基因表达。因此,阻碍异二聚体与DNA结合的能力是挫败c-Myc转录的一种有利策略。在本研究中,我们首先合成了一系列新型2-亚氨基苯并咪唑衍生物,并进一步评估了它们潜在的抗MM活性。值得注意的是,在所有衍生物中,[具体化合物名称1]和[具体化合物名称2]对RPMI-8226和U266细胞表现出显著的抑制活性,化合物[具体化合物名称1]的IC值分别为0.85 μM和0.97 μM,化合物[具体化合物名称2]的IC值分别为0.96 μM和0.89 μM。蛋白质免疫印迹和双荧光素酶报告基因检测表明,化合物[具体化合物名称1]和[具体化合物名称2]在RPMI-8226和U266细胞中有效抑制了c-Myc蛋白表达和c-Myc启动子的转录活性。此外,这些化合物在上述MM细胞中诱导凋亡和G1期细胞周期阻滞。分子对接研究表明,[具体化合物名称1]和[具体化合物名称2]对c-Myc/Max与DNA的E-box之间的界面表现出很强的结合亲和力。综上所述,我们的研究结果表明,有必要进一步研究[具体化合物名称1]和[具体化合物名称2]在c-Myc相关疾病潜在治疗应用方面的可能性。

https://cdn.ncbi.nlm.nih.gov/pmc/blobs/99b4/10999938/c80a4c979cf7/ga1.jpg

相似文献

1
Design, synthesis, and activity evaluation of 2-iminobenzimidazoles as c-Myc inhibitors for treating multiple myeloma.
Heliyon. 2024 Mar 26;10(7):e28411. doi: 10.1016/j.heliyon.2024.e28411. eCollection 2024 Apr 15.
8
Perturbation of the c-Myc-Max protein-protein interaction via synthetic α-helix mimetics.
J Med Chem. 2015 Apr 9;58(7):3002-24. doi: 10.1021/jm501440q. Epub 2015 Mar 30.

引用本文的文献

1
Key breakthroughs in small molecule MYC inhibitors.
Future Med Chem. 2025 May;17(10):1097-1100. doi: 10.1080/17568919.2025.2504325. Epub 2025 May 12.

本文引用的文献

1
A novel 2-iminobenzimidazole compound, XYA1353, displays in vitro and in vivo anti-myeloma activity via targeting NF-κB signaling.
Mol Cell Biochem. 2024 Apr;479(4):843-857. doi: 10.1007/s11010-023-04764-6. Epub 2023 May 19.
2
3
How to Manage Patients with Lenalidomide-Refractory Multiple Myeloma.
Cancers (Basel). 2022 Dec 27;15(1):155. doi: 10.3390/cancers15010155.
5
The Disordered MAX N-terminus Modulates DNA Binding of the Transcription Factor MYC:MAX.
J Mol Biol. 2022 Nov 30;434(22):167833. doi: 10.1016/j.jmb.2022.167833. Epub 2022 Sep 27.
6
Multiple Myeloma for the Primary Care Provider: A Practical Review to Promote Earlier Diagnosis Among Diverse Populations.
Am J Med. 2023 Jan;136(1):33-41. doi: 10.1016/j.amjmed.2022.08.030. Epub 2022 Sep 20.
8
Clinical Considerations for Immunoparesis in Multiple Myeloma.
Cancers (Basel). 2022 May 3;14(9):2278. doi: 10.3390/cancers14092278.

文献AI研究员

20分钟写一篇综述,助力文献阅读效率提升50倍。

立即体验

用中文搜PubMed

大模型驱动的PubMed中文搜索引擎

马上搜索

文档翻译

学术文献翻译模型,支持多种主流文档格式。

立即体验