Suppr超能文献

基于结构的迭代学习发现有效的α-突触核蛋白聚集抑制剂。

Discovery of potent inhibitors of α-synuclein aggregation using structure-based iterative learning.

机构信息

Centre for Misfolding Diseases, Yusuf Hamied Department of Chemistry, University of Cambridge, Cambridge, UK.

Laboratory of Neurological Infections and Immunity, Rocky Mountain Laboratories, National Institute for Allergy and Infectious Diseases, National Institutes of Health, Hamilton, MT, USA.

出版信息

Nat Chem Biol. 2024 May;20(5):634-645. doi: 10.1038/s41589-024-01580-x. Epub 2024 Apr 17.

Abstract

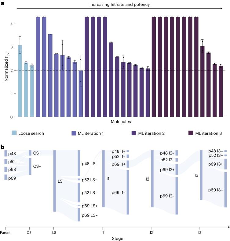
Machine learning methods hold the promise to reduce the costs and the failure rates of conventional drug discovery pipelines. This issue is especially pressing for neurodegenerative diseases, where the development of disease-modifying drugs has been particularly challenging. To address this problem, we describe here a machine learning approach to identify small molecule inhibitors of α-synuclein aggregation, a process implicated in Parkinson's disease and other synucleinopathies. Because the proliferation of α-synuclein aggregates takes place through autocatalytic secondary nucleation, we aim to identify compounds that bind the catalytic sites on the surface of the aggregates. To achieve this goal, we use structure-based machine learning in an iterative manner to first identify and then progressively optimize secondary nucleation inhibitors. Our results demonstrate that this approach leads to the facile identification of compounds two orders of magnitude more potent than previously reported ones.

摘要

机器学习方法有望降低传统药物发现管道的成本和失败率。对于神经退行性疾病来说,这个问题尤其紧迫,因为这些疾病的治疗药物的开发一直是一个特别具有挑战性的难题。为了解决这个问题,我们在这里描述了一种机器学习方法,用于识别小分子抑制剂α-突触核蛋白聚集,这一过程与帕金森病和其他突触核蛋白病有关。由于α-突触核蛋白聚集体的增殖是通过自动催化二次成核进行的,我们的目标是识别结合聚集体表面催化部位的化合物。为了实现这一目标,我们采用基于结构的机器学习方法进行迭代,首先识别,然后逐步优化二次成核抑制剂。我们的研究结果表明,这种方法能够轻松识别出比以前报道的化合物效力高出两个数量级的化合物。

https://cdn.ncbi.nlm.nih.gov/pmc/blobs/f343/11062903/6dcd86acd03a/41589_2024_1580_Fig1_HTML.jpg

文献AI研究员

20分钟写一篇综述,助力文献阅读效率提升50倍。

立即体验

用中文搜PubMed

大模型驱动的PubMed中文搜索引擎

马上搜索

文档翻译

学术文献翻译模型,支持多种主流文档格式。

立即体验