Suppr超能文献

大规模全基因组关联研究揭示了空气污染物与自身免疫性疾病之间的遗传因果关系。

Large-scale genome-wide association studies reveal the genetic causal etiology between air pollutants and autoimmune diseases.

机构信息

The Animal Laboratory Center, Hunan Cancer Hospital, and The Affiliated Cancer Hospital of Xiangya School of Medicine, Central South University, Changsha, China.

Department of Neurosurgery, Xiangya Hospital, Central South University, Changsha, China.

出版信息

J Transl Med. 2024 Apr 29;22(1):392. doi: 10.1186/s12967-024-04928-y.

Abstract

BACKGROUND

Epidemiological evidence links a close correlation between long-term exposure to air pollutants and autoimmune diseases, while the causality remained unknown.

METHODS

Two-sample Mendelian randomization (TSMR) was used to investigate the role of PM10, PM2.5, NO, and NO (N = 423,796-456,380) in 15 autoimmune diseases (N = 14,890-314,995) using data from large European GWASs including UKB, FINNGEN, IMSGC, and IPSCSG. Multivariable Mendelian randomization (MVMR) was conducted to investigate the direct effect of each air pollutant and the mediating role of common factors, including body mass index (BMI), alcohol consumption, smoking status, and household income. Transcriptome-wide association studies (TWAS), two-step MR, and colocalization analyses were performed to explore underlying mechanisms between air pollution and autoimmune diseases.

RESULTS

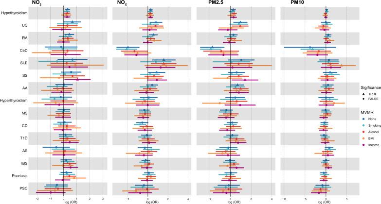
In TSMR, after correction of multiple testing, hypothyroidism was causally associated with higher exposure to NO [odds ratio (OR): 1.37, p = 9.08 × 10] and NO [OR: 1.34, p = 2.86 × 10], ulcerative colitis (UC) was causally associated with higher exposure to NO [OR: 2.24, p = 1.23 × 10] and PM2.5 [OR: 2.60, p = 5.96 × 10], rheumatoid arthritis was causally associated with higher exposure to NO [OR: 1.72, p = 1.50 × 10], systemic lupus erythematosus was causally associated with higher exposure to NO [OR: 4.92, p = 6.89 × 10], celiac disease was causally associated with lower exposure to NO [OR: 0.14, p = 6.74 × 10] and PM2.5 [OR: 0.17, p = 3.18 × 10]. The risky effects of PM2.5 on UC remained significant in MVMR analyses after adjusting for other air pollutants. MVMR revealed several common mediators between air pollutants and autoimmune diseases. Transcriptional analysis identified specific gene transcripts and pathways interconnecting air pollutants and autoimmune diseases. Two-step MR revealed that POR, HSPA1B, and BRD2 might mediate from air pollutants to autoimmune diseases. POR pQTL (rs59882870, PPH4=1.00) strongly colocalized with autoimmune diseases.

CONCLUSION

This research underscores the necessity of rigorous air pollutant surveillance within public health studies to curb the prevalence of autoimmune diseases.

摘要

背景

流行病学证据表明,长期暴露于空气污染物与自身免疫性疾病之间存在密切关联,但其因果关系尚不清楚。

方法

使用来自大型欧洲 GWAS 包括 UKB、FINNGEN、IMSG 和 IPSCSG 的数据,采用两样本 Mendelian 随机化(TSMR)方法,研究 PM10、PM2.5、NO 和 NO(N=423,796-456,380)在 15 种自身免疫性疾病(N=14,890-314,995)中的作用。采用多变量 Mendelian 随机化(MVMR)方法,研究每种空气污染物的直接作用以及包括体重指数(BMI)、饮酒、吸烟状况和家庭收入在内的常见因素的介导作用。进行转录组关联研究(TWAS)、两步 MR 和共定位分析,以探索空气污染物与自身免疫性疾病之间的潜在机制。

结果

在 TSMR 中,经过多次检验校正后,甲状腺功能减退症与较高的 NO 暴露呈因果关系[比值比(OR):1.37,p=9.08×10]和 NO[OR:1.34,p=2.86×10],溃疡性结肠炎(UC)与较高的 NO 暴露呈因果关系[OR:2.24,p=1.23×10]和 PM2.5[OR:2.60,p=5.96×10],类风湿关节炎与较高的 NO 暴露呈因果关系[OR:1.72,p=1.50×10],系统性红斑狼疮与较高的 NO 暴露呈因果关系[OR:4.92,p=6.89×10],乳糜泻与较低的 NO 暴露呈因果关系[OR:0.14,p=6.74×10]和 PM2.5[OR:0.17,p=3.18×10]。MVMR 分析表明,在调整其他空气污染物后,PM2.5 对 UC 的风险影响仍然显著。MVMR 揭示了空气污染物和自身免疫性疾病之间的几个共同介导因素。转录分析确定了将空气污染物和自身免疫性疾病联系起来的特定基因转录本和途径。两步 MR 表明 POR、HSPA1B 和 BRD2 可能介导空气污染物向自身免疫性疾病的转变。POR pQTL(rs59882870,PPH4=1.00)与自身免疫性疾病强烈共定位。

结论

这项研究强调了在公共卫生研究中严格监测空气污染物的必要性,以遏制自身免疫性疾病的流行。

https://cdn.ncbi.nlm.nih.gov/pmc/blobs/8640/11057084/6be6df2d7761/12967_2024_4928_Fig1_HTML.jpg

文献AI研究员

20分钟写一篇综述,助力文献阅读效率提升50倍。

立即体验

用中文搜PubMed

大模型驱动的PubMed中文搜索引擎

马上搜索

文档翻译

学术文献翻译模型,支持多种主流文档格式。

立即体验