Suppr超能文献

直接空气气体软射流等离子体对体外减少口腔细菌生物膜的抗菌效果。

Antimicrobial efficacy of direct air gas soft jet plasma for the in vitro reduction of oral bacterial biofilms.

机构信息

Department of Pharmacy, University "G. d'Annunzio" of Chieti-Pescara, Via dei Vestini 31, 66100, Chieti, Italy.

Department of Innovative Technologies in Medicine and Dentistry, University "G. d'Annunzio" of Chieti-Pescara, Chieti, Italy.

出版信息

Sci Rep. 2024 May 13;14(1):10882. doi: 10.1038/s41598-024-61438-z.

Abstract

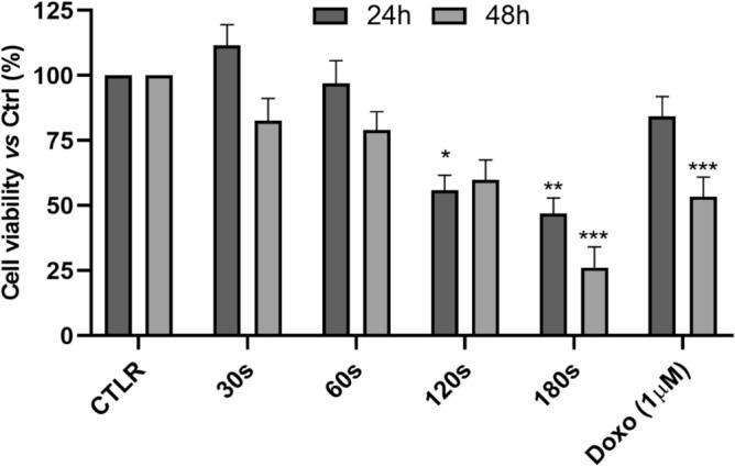
The aim of this study was to evaluate the antimicrobial efficacy of an air gas soft jet CAP for its potential use in removing oral biofilms, given that plasma-based technologies have emerged as promising methods in periodontology. Two types of biofilms were developed, one by Streptococcus mutans UA 159 bacterial strain and the other by a complex mixture of saliva microorganisms isolated from a patient with periodontitis. This latter biofilm was characterized via Next Generation Sequencing to determine the main bacterial phyla. The CAP source was applied at a distance of 6 mm for different time points. A statistically significant reduction of both CFU count and XTT was already detected after 60 s of CAP treatment. CLSM analysis supported CAP effectiveness in killing the microorganisms inside the biofilm and in reducing the thickness of the biofilm matrix. Cytotoxicity tests demonstrated the possible use of CAP without important side effects towards human gingival fibroblasts cell line. The current study showed that CAP treatment was able to significantly reduce preformed biofilms developed by both S. mutans and microorganisms isolated by a saliva sample. Further studies should be conducted on biofilms developed by additional saliva donors to support the potential of this innovative strategy to counteract oral pathogens responsible for periodontal diseases.

摘要

本研究旨在评估空气射流 CAP 的抗菌功效,以期将其潜在应用于去除口腔生物膜,因为基于等离子体的技术已成为牙周病学中很有前途的方法。开发了两种生物膜,一种是由变异链球菌 UA159 细菌株形成,另一种是由从牙周炎患者唾液中分离的微生物复杂混合物形成。通过下一代测序对后者的生物膜进行了表征,以确定主要细菌门。CAP 源以 6 毫米的距离应用于不同的时间点。CAP 处理 60 秒后,CFU 计数和 XTT 均已明显减少。CLSM 分析支持 CAP 能够有效地杀死生物膜内的微生物并减少生物膜基质的厚度。细胞毒性试验表明,CAP 可在不对人牙龈成纤维细胞系产生重要副作用的情况下使用。本研究表明,CAP 处理能够显著减少由变异链球菌和唾液样本中分离的微生物形成的预形成生物膜。应在其他唾液供体中进行生物膜开发的进一步研究,以支持这种创新策略对抗牙周病相关口腔病原体的潜力。

https://cdn.ncbi.nlm.nih.gov/pmc/blobs/b5c9/11091221/6e94077f5646/41598_2024_61438_Fig1_HTML.jpg

文献AI研究员

20分钟写一篇综述,助力文献阅读效率提升50倍。

立即体验

用中文搜PubMed

大模型驱动的PubMed中文搜索引擎

马上搜索

文档翻译

学术文献翻译模型,支持多种主流文档格式。

立即体验