Suppr超能文献

构建中国最北部广泛期小细胞肺癌患者接受免疫治疗的预后模型,并基于不同时间点的反应状态预测治疗效果。

Construction of a prognostic model for extensive-stage small cell lung cancer patients undergoing immune therapy in northernmost China and prediction of treatment efficacy based on response status at different time points.

机构信息

Department of Medical Oncology, Harbin Medical University Cancer Hospital, Harbin, 150000, Heilongjiang, China.

出版信息

J Cancer Res Clin Oncol. 2024 May 15;150(5):255. doi: 10.1007/s00432-024-05767-6.

Abstract

BACKGROUND AND PURPOSE

Recently, the emergence of immune checkpoint inhibitors has significantly improved the survival of patients with extensive-stage small cell lung cancer. However, not all patients can benefit from immunotherapy; therefore, there is an urgent need for precise predictive markers to screen the population for the benefit of immunotherapy. However, single markers have limited predictive accuracy, so a comprehensive predictive model is needed to better enable precision immunotherapy. The aim of this study was to establish a prognostic model for immunotherapy in ES-SCLC patients using basic clinical characteristics and peripheral hematological indices of the patients, which would provide a strategy for the clinical realization of precision immunotherapy and improve the prognosis of small cell lung cancer patients.

METHODS

This research retrospectively collected data from ES-SCLC patients treated with PD-1/PD-L1 inhibitors between March 1, 2019, and October 31, 2022, at Harbin Medical University Cancer Hospital. The study data was randomly split into training and validation sets in a 7:3 ratio. Variables associated with patients' overall survival were screened and modeled by univariate and multivariate Cox regression analyses. Models were presented visually via Nomogram plots. Model discrimination was evaluated by Harrell's C index, tROC, and tAUC. The calibration of the model was assessed by calibration curves. In addition, the clinical utility of the model was assessed using a DCA curve. After calculating the total risk score of patients in the training set, patients were stratified by risk using percentile partitioning. The Kaplan-Meier method was used to plot OS and PFS survival curves for different risk groups and response statuses at different milestone time points. Differences in survival time groups were compared using the chi-square test. Statistical analysis software included R 4.1.2 and SPSS 26.

RESULTS

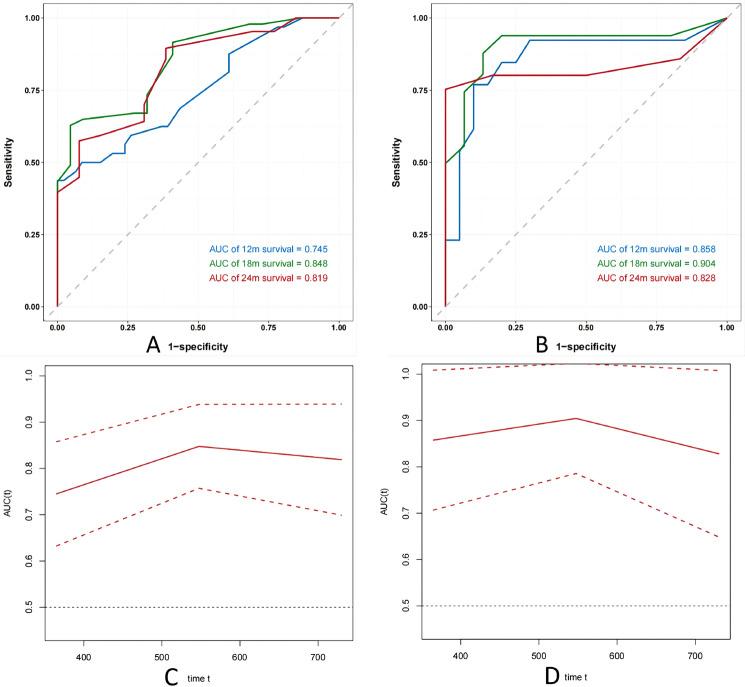
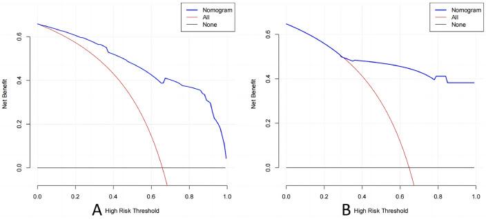
This study included a total of 113 ES-SCLC patients who received immunotherapy, including 79 in the training set and 34 in the validation set. Six variables associated with poorer OS in patients were screened by Cox regression analysis: liver metastasis (P = 0.001), bone metastasis (P = 0.013), NLR < 2.14 (P = 0.005), LIPI assessed as poor (P < 0.001), PNI < 51.03 (P = 0.002), and LDH ≥ 146.5 (P = 0.037). A prognostic model for immunotherapy in ES-SCLC patients was constructed based on the above variables. The Harrell's C-index in the training and validation sets of the model was 0.85 (95% CI 0.76-0.93) and 0.88 (95% CI 0.76-0.99), respectively; the AUC values corresponding to 12, 18, and 24 months in the tROC curves of the training set were 0.745, 0.848, and 0.819 in the training set and 0.858, 0.904 and 0.828 in the validation set; the tAUC curves show that the overall tAUC is > 0.7 and does not fluctuate much over time in both the training and validation sets. The calibration plot demonstrated the good calibration of the model, and the DCA curve indicated that the model had practical clinical applications. Patients in the training set were categorized into low, intermediate, and high risk groups based on their predicted risk scores in the Nomogram graphs. In the training set, 52 patients (66%) died with a median OS of 15.0 months and a median PFS of 7.8 months. Compared with the high-risk group (median OS: 12.3 months), the median OS was significantly longer in the intermediate-risk group (median OS: 24.5 months, HR = 0.47, P = 0.038) and the low-risk group (median OS not reached, HR = 0.14, P = 0.007). And, the median PFS was also significantly prolonged in the intermediate-risk group (median PFS: 12.7 months, HR = 0.45, P = 0.026) and low-risk group (median PFS not reached, HR = 0.12, P = 0.004) compared with the high-risk group (median PFS: 6.2 months). Similar results were obtained in the validation set. In addition, we observed that in real-world ES-SCLC patients, at 6 weeks after immunotherapy, the median OS was significantly longer in responders than in non-responders (median OS: 19.5 months vs. 11.9 months, P = 0.033). Similar results were obtained at 12 weeks (median OS: 20.7 months vs 11.9 months, P = 0.044) and 20 weeks (median OS: 20.7 months vs 11.7 months, P = 0.015). Finally, we found that in the real world, ES-SCLC patients without liver metastasis (P = 0.002), bone metastasis (P = 0.001) and a total number of metastatic organs < 2 (P = 0.002) are more likely to become long-term survivors after receiving immunotherapy.

CONCLUSION

This study constructed a new prognostic model based on basic patient clinical characteristics and peripheral blood indices, which can be a good predictor of the prognosis of immunotherapy in ES-SCLC patients; in the real world, the response status at milestone time points (6, 12, and 20 weeks) can be a good indicator of long-term survival in ES-SCLC patients receiving immunotherapy.

摘要

背景与目的

最近,免疫检查点抑制剂的出现显著改善了广泛期小细胞肺癌患者的生存。然而,并非所有患者都能从免疫治疗中获益;因此,迫切需要精确的预测标志物来筛选免疫治疗受益人群。然而,单一标志物的预测准确性有限,因此需要综合预测模型来更好地实现精准免疫治疗。本研究旨在利用患者的基本临床特征和外周血象指标,建立广泛期小细胞肺癌患者免疫治疗的预后模型,为临床实现精准免疫治疗提供策略,改善小细胞肺癌患者的预后。

方法

本研究回顾性收集了 2019 年 3 月 1 日至 2022 年 10 月 31 日期间在哈尔滨医科大学附属肿瘤医院接受 PD-1/PD-L1 抑制剂治疗的广泛期小细胞肺癌患者的数据。研究数据以 7:3 的比例随机分为训练集和验证集。通过单变量和多变量 Cox 回归分析筛选与患者总生存相关的变量,并建立模型。通过 Nomogram 图直观地展示模型。采用 Harrell's C 指数、tROC 和 tAUC 评估模型的区分度。通过校准曲线评估模型的校准度。此外,还通过 DCA 曲线评估模型的临床实用性。计算患者在训练集中的总风险评分后,根据百分位数划分对患者进行风险分层。采用 Kaplan-Meier 方法绘制不同风险组和不同反应状态在不同里程碑时间点的 OS 和 PFS 生存曲线。采用卡方检验比较生存时间组间的差异。统计分析软件包括 R 4.1.2 和 SPSS 26。

结果

本研究共纳入 113 例接受免疫治疗的广泛期小细胞肺癌患者,其中 79 例在训练集中,34 例在验证集中。通过 Cox 回归分析筛选出与患者 OS 较差相关的 6 个变量:肝转移(P=0.001)、骨转移(P=0.013)、中性粒细胞与淋巴细胞比值(NLR)<2.14(P=0.005)、LIPI 评估为差(P<0.001)、营养免疫评分(PNI)<51.03(P=0.002)和乳酸脱氢酶(LDH)≥146.5(P=0.037)。基于上述变量构建了广泛期小细胞肺癌患者免疫治疗的预后模型。模型在训练集和验证集中的 Harrell's C 指数分别为 0.85(95%CI 0.76-0.93)和 0.88(95%CI 0.76-0.99);tROC 曲线在训练集中 12、18 和 24 个月的 AUC 值分别为 0.745、0.848 和 0.819,在验证集中分别为 0.858、0.904 和 0.828;tAUC 曲线表明整体 tAUC 值均大于 0.7,且在训练集和验证集中均随时间推移波动不大。校准图表明模型校准良好,DCA 曲线表明模型具有实际临床应用价值。根据预测风险评分,训练集中的患者被分为低、中、高风险组。在训练集中,52 例(66%)患者死亡,中位 OS 为 15.0 个月,中位 PFS 为 7.8 个月。与高危组(中位 OS:12.3 个月)相比,中危组(中位 OS:24.5 个月,HR=0.47,P=0.038)和低危组(中位 OS 未达到,HR=0.14,P=0.007)的中位 OS 明显更长。与高危组(中位 PFS:6.2 个月)相比,中危组(中位 PFS:12.7 个月,HR=0.45,P=0.026)和低危组(中位 PFS 未达到,HR=0.12,P=0.004)的中位 PFS 也明显延长。验证集中也得到了类似的结果。此外,我们观察到在真实世界的广泛期小细胞肺癌患者中,免疫治疗后 6 周时,应答者的中位 OS 明显长于无应答者(中位 OS:19.5 个月比 11.9 个月,P=0.033)。在 12 周(中位 OS:20.7 个月比 11.9 个月,P=0.044)和 20 周(中位 OS:20.7 个月比 11.7 个月,P=0.015)时也得到了类似的结果。最后,我们发现,在真实世界中,无肝转移(P=0.002)、骨转移(P=0.001)和转移器官总数<2(P=0.002)的广泛期小细胞肺癌患者接受免疫治疗后更有可能成为长期幸存者。

结论

本研究构建了一个新的基于患者基本临床特征和外周血象指标的预后模型,可作为广泛期小细胞肺癌患者免疫治疗预后的良好预测指标;在真实世界中,里程碑时间点(6、12 和 20 周)的反应状态可以作为接受免疫治疗的广泛期小细胞肺癌患者长期生存的良好指标。

https://cdn.ncbi.nlm.nih.gov/pmc/blobs/5ed2/11096247/2ae3fdbabac4/432_2024_5767_Fig1_HTML.jpg

文献AI研究员

20分钟写一篇综述,助力文献阅读效率提升50倍。

立即体验

用中文搜PubMed

大模型驱动的PubMed中文搜索引擎

马上搜索

文档翻译

学术文献翻译模型,支持多种主流文档格式。

立即体验