Suppr超能文献

他莫昔芬代谢物与黏菌素和替加环素联合在实验性小鼠模型中的疗效。 (你提供的原文中后面两个“and”后缺少具体内容,所以翻译可能不太完整准确,你可补充完整后再让我翻译。)

Efficacy of Tamoxifen Metabolites in Combination with Colistin and Tigecycline in Experimental Murine Models of and .

作者信息

Herrera-Espejo Soraya, Vila-Domínguez Andrea, Cebrero-Cangueiro Tania, Smani Younes, Pachón Jerónimo, Jiménez-Mejías Manuel E, Pachón-Ibáñez María E

机构信息

Unidad Clínica de Enfermedades Infecciosas, Microbiología y Parasitología, Instituto de Biomedicina de Sevilla (IBiS), Hospital Universitario Virgen del Rocío/CSIC/Universidad de Sevilla, 41013 Sevilla, Spain.

Centro Andaluz de Biología del Desarrollo, Universidad Pablo de Olavide/Consejo Superior de Investigaciones Científicas/Junta de Andalucía, 41013 Sevilla, Spain.

出版信息

Antibiotics (Basel). 2024 Apr 24;13(5):386. doi: 10.3390/antibiotics13050386.

Abstract

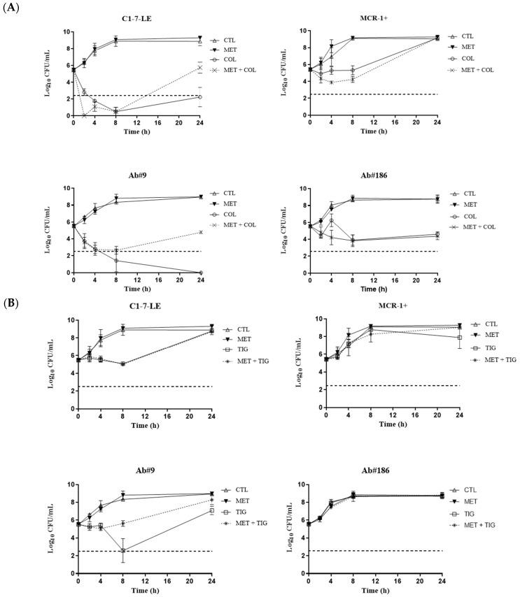
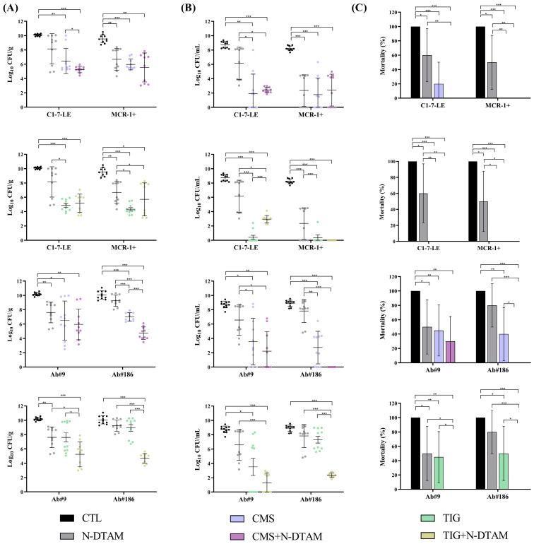
This study aimed to evaluate the potential of tamoxifen and N-desmethyltamoxifen metabolites as therapeutic agents against multidrug-resistant and using a repurposing approach to shorten the time required to obtain a new effective treatment against multidrug-resistant bacterial infections. Characterisation and virulence studies were conducted on (colistin-susceptible C1-7-LE and colistin-resistant MCR-1+) and (tigecycline-susceptible Ab#9 and tigecycline-resistant Ab#186) strains. The efficacy of the metabolite mix (33.3% each) and N-desmethyltamoxifen in combination with colistimethate sodium (CMS) or tigecycline was evaluated in experimental models in mice. In the pneumonia model, N-desmethyltamoxifen exhibited significant efficacy against Ab#9 and both strains, especially MCR-1+ (-2.86 log CFU/g lungs, -5.88 log CFU/mL blood, and -50% mortality), and against the Ab#186 strain when combined with CMS (-2.27 log CFU/g lungs, -2.73 log CFU/mL blood, and -40% mortality) or tigecycline (-3.27 log CFU/g lungs, -4.95 log CFU/mL blood, and -50% mortality). Moreover, the metabolite mix in combination with both antibiotics decreased the bacterial concentrations in the lungs and blood for both strains. In the sepsis model, the significant efficacy of the metabolite mix was restricted to the colistin-susceptible C1-7-LE strain (-3.32 log CFU/g lung, -6.06 log CFU/mL blood, and -79% mortality). N-desmethyltamoxifen could be a new therapeutic option in combination with CMS or tigecycline for combating multidrug-resistant GNB, specifically .

摘要

本研究旨在评估他莫昔芬及其N-去甲基他莫昔芬代谢物作为抗多重耐药菌治疗药物的潜力,并采用药物重新利用的方法来缩短获得针对多重耐药细菌感染的新有效治疗方法所需的时间。对大肠埃希菌(对黏菌素敏感的C1-7-LE和对黏菌素耐药的MCR-1+)和鲍曼不动杆菌(对替加环素敏感的Ab#9和对替加环素耐药的Ab#186)菌株进行了特性鉴定和毒力研究。在小鼠实验模型中评估了代谢物混合物(各占33.3%)和N-去甲基他莫昔芬与多黏菌素甲磺酸钠(CMS)或替加环素联合使用的疗效。在肺炎模型中,N-去甲基他莫昔芬对Ab#9以及两种大肠埃希菌菌株均显示出显著疗效,尤其是对MCR-1+菌株(肺组织细菌载量降低2.86 log CFU/g,血液中细菌载量降低5.88 log CFU/mL,死亡率降低50%),与CMS联合使用时对Ab#186菌株也有显著疗效(肺组织细菌载量降低2.27 log CFU/g,血液中细菌载量降低2.73 log CFU/mL,死亡率降低40%),与替加环素联合使用时同样如此(肺组织细菌载量降低3.27 log CFU/g,血液中细菌载量降低4.95 log CFU/mL,死亡率降低50%)。此外,代谢物混合物与两种抗生素联合使用均降低了两种大肠埃希菌菌株在肺组织和血液中的细菌浓度。在败血症模型中,代谢物混合物的显著疗效仅限于对黏菌素敏感的大肠埃希菌C1-7-LE菌株(肺组织细菌载量降低3.32 log CFU/g,血液中细菌载量降低6.06 log CFU/mL,死亡率降低79%)。N-去甲基他莫昔芬与CMS或替加环素联合使用可能是对抗多重耐药革兰阴性菌(尤其是鲍曼不动杆菌)的一种新的治疗选择。

https://cdn.ncbi.nlm.nih.gov/pmc/blobs/7c2e/11117204/58f770fa0ba9/antibiotics-13-00386-g001.jpg

文献AI研究员

20分钟写一篇综述,助力文献阅读效率提升50倍。

立即体验

用中文搜PubMed

大模型驱动的PubMed中文搜索引擎

马上搜索

文档翻译

学术文献翻译模型,支持多种主流文档格式。

立即体验