Suppr超能文献

欧洲队列中的外部暴露组与全因死亡率:EXPANSE项目

External exposome and all-cause mortality in European cohorts: the EXPANSE project.

作者信息

Nobile Federica, Dimakopoulou Konstantina, Åström Christofer, Coloma Fabián, Dadvand Payam, de Bont Jeroen, de Hoogh Kees, Ibi Dorina, Katsouyanni Klea, Ljungman Petter, Melén Erik, Nieuwenhuijsen Mark, Pickford Regina, Sommar Johan Nilsson, Tonne Cathryn, Vermeulen Roel C H, Vienneau Danielle, Vlaanderen Jelle J, Wolf Kathrin, Samoli Evangelia, Stafoggia Massimo

机构信息

Department of Epidemiology, Lazio Region Health Service/ASL Roma 1, Rome, Italy.

Institute of Environmental Medicine, Karolinska Institutet, Stockholm, Sweden.

出版信息

Front Epidemiol. 2024 May 28;4:1327218. doi: 10.3389/fepid.2024.1327218. eCollection 2024.

Abstract

BACKGROUND

Many studies reported associations between long-term exposure to environmental factors and mortality; however, little is known on the combined effects of these factors and health. We aimed to evaluate the association between external exposome and all-cause mortality in large administrative and traditional adult cohorts in Europe.

METHODS

Data from six administrative cohorts (Catalonia, Greece, Rome, Sweden, Switzerland and the Netherlands, totaling 27,913,545 subjects) and three traditional adult cohorts (CEANS-Sweden, EPIC-NL-the Netherlands, KORA-Germany, totaling 57,653 participants) were included. Multiple exposures were assigned at the residential addresses, and were divided into three defined domains: (1) air pollution [fine particulate matter (PM), nitrogen dioxide (NO₂), black carbon (BC) and warm-season Ozone (warm-O)]; (2) land/built environment (Normalized Difference Vegetation Index-NDVI, impervious surfaces, and distance to water); (3) air temperature (cold- and warm-season mean and standard deviation). Each domain was synthesized through Principal Component Analysis (PCA), with the aim of explaining at least 80% of its variability. Cox proportional-hazards regression models were applied and the total risk of the external exposome was estimated through the Cumulative Risk Index (CRI). The estimates were adjusted for individual- and area-level covariates.

RESULTS

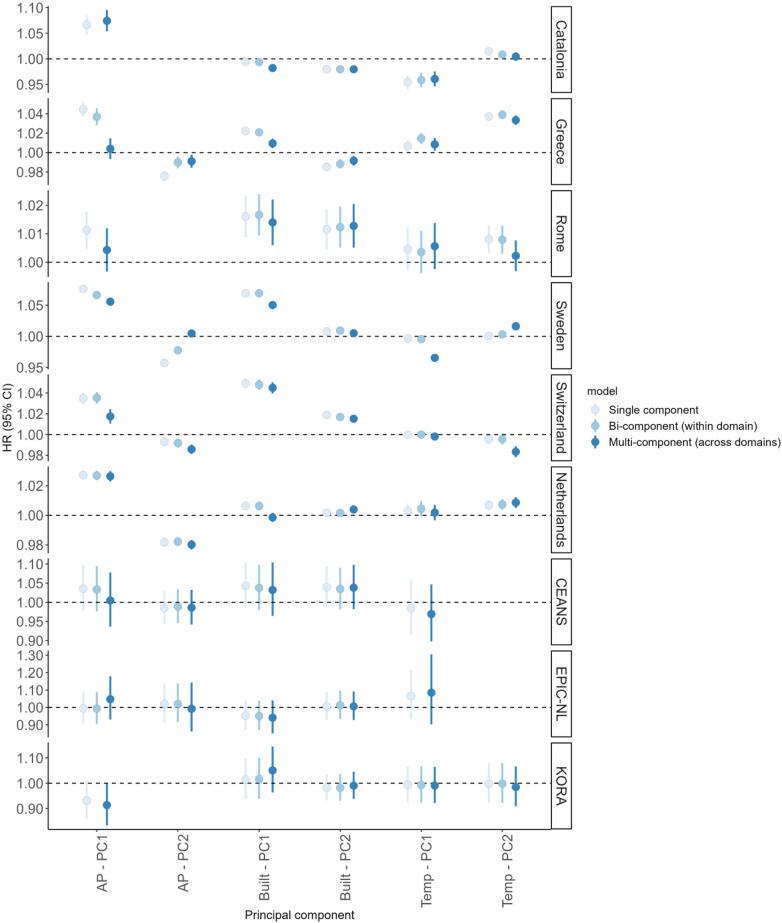
More than 205 million person-years at risk and more than 3.2 million deaths were analyzed. In single-component models, IQR increases of the first principal component of the air pollution domain were associated with higher mortality [HRs ranging from 1.011 (95% CI: 1.005-1.018) for the Rome cohort to 1.076 (1.071-1.081) for the Swedish cohort]. In contrast, lower levels of the first principal component of the land/built environment domain, pointing to reduced vegetation and higher percentage of impervious surfaces, were associated with higher risks. Finally, the CRI of external exposome increased mortality for almost all cohorts. The associations found in the traditional adult cohorts were generally consistent with the results from the administrative ones, albeit without reaching statistical significance.

DISCUSSION

Various components of the external exposome, analyzed individually or in combination, were associated with increased mortality across European cohorts. This sets the stage for future research on the connections between various exposure patterns and human health, aiding in the planning of healthier cities.

摘要

背景

许多研究报告了长期暴露于环境因素与死亡率之间的关联;然而,对于这些因素的综合影响以及与健康的关系却知之甚少。我们旨在评估欧洲大型行政和传统成年队列中外部暴露组与全因死亡率之间的关联。

方法

纳入了来自六个行政队列(加泰罗尼亚、希腊、罗马、瑞典、瑞士和荷兰,共计27,913,545名受试者)和三个传统成年队列(瑞典的CEANS、荷兰的EPIC-NL、德国的KORA,共计57,653名参与者)的数据。在居住地址分配了多种暴露因素,并将其分为三个定义领域:(1)空气污染[细颗粒物(PM)、二氧化氮(NO₂)、黑碳(BC)和暖季臭氧(暖季-O)];(2)土地/建筑环境[归一化植被指数(NDVI)、不透水表面和到水体的距离];(3)气温(冷季和暖季的均值和标准差)。每个领域通过主成分分析(PCA)进行综合,目的是解释其至少80%的变异性。应用Cox比例风险回归模型,并通过累积风险指数(CRI)估计外部暴露组的总风险。估计值针对个体和地区层面的协变量进行了调整。

结果

分析了超过2.05亿人年的风险和超过320万例死亡。在单成分模型中,空气污染领域第一主成分的四分位数间距增加与更高的死亡率相关[风险比范围从罗马队列的1.011(95%置信区间:1.005-1.018)到瑞典队列的1.076(1.071-1.081)]。相反,土地/建筑环境领域第一主成分水平较低,表明植被减少和不透水表面比例较高,与更高的风险相关。最后,外部暴露组的CRI增加了几乎所有队列的死亡率。在传统成年队列中发现的关联通常与行政队列的结果一致,尽管未达到统计学显著性。

讨论

外部暴露组的各种成分,单独或综合分析,都与欧洲队列中死亡率的增加相关。这为未来研究各种暴露模式与人类健康之间的联系奠定了基础,有助于规划更健康的城市。

https://cdn.ncbi.nlm.nih.gov/pmc/blobs/6b1d/11165119/3a2d6c70088a/fepid-04-1327218-g001.jpg

文献AI研究员

20分钟写一篇综述,助力文献阅读效率提升50倍。

立即体验

用中文搜PubMed

大模型驱动的PubMed中文搜索引擎

马上搜索

文档翻译

学术文献翻译模型,支持多种主流文档格式。

立即体验