Suppr超能文献

创新性分数阶演化博弈理论研究个人防护、检疫和隔离策略在传染病防治中的应用。

An innovative fractional-order evolutionary game theoretical study of personal protection, quarantine, and isolation policies for combating epidemic diseases.

机构信息

Department of Mathematics, Feni University, Feni, 3900, Bangladesh.

Department of Mathematics, College of Science, Jazan University, 45142, Jazan, P.O. Box 114, Kingdom of Saudi Arabia.

出版信息

Sci Rep. 2024 Jun 24;14(1):14464. doi: 10.1038/s41598-024-61211-2.

Abstract

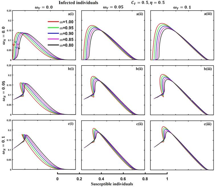
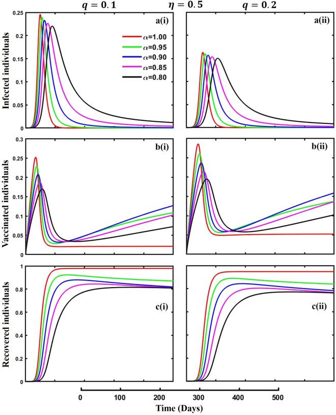
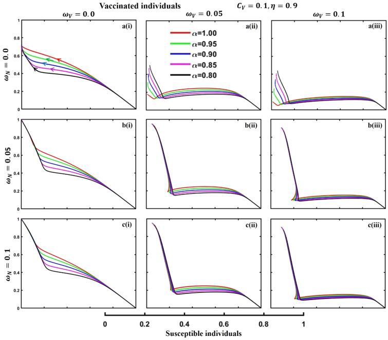
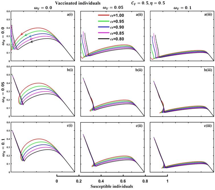
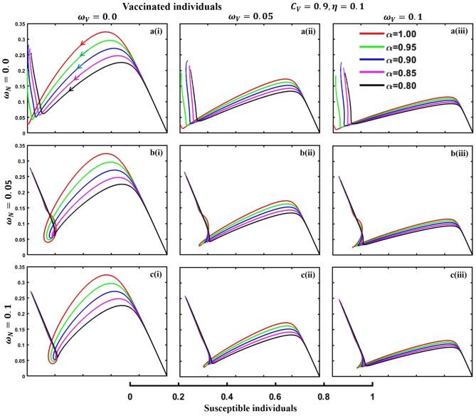
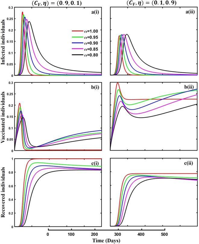
This study uses imposed control techniques and vaccination game theory to study disease dynamics with transitory or diminishing immunity. Our model uses the ABC fractional-order derivative mechanism to show the effect of non-pharmaceutical interventions such as personal protection or awareness, quarantine, and isolation to simulate the essential control strategies against an infectious disease spread in an infinite and uniformly distributed population. A comprehensive evolutionary game theory study quantified the significant influence of people's vaccination choices, with government forces participating in vaccination programs to improve obligatory control measures to reduce epidemic spread. This model uses the intervention options described above as a control strategy to reduce disease prevalence in human societies. Again, our simulated results show that a combined control strategy works exquisitely when the disease spreads even faster. A sluggish dissemination rate slows an epidemic outbreak, but modest control techniques can reestablish a disease-free equilibrium. Preventive vaccination regulates the border between the three phases, while personal protection, quarantine, and isolation methods reduce disease transmission in existing places. Thus, successfully combining these three intervention measures reduces epidemic or pandemic size, as represented by line graphs and 3D surface diagrams. For the first time, we use a fractional-order derivate to display the phase-portrayed trajectory graph to show the model's dynamics if immunity wanes at a specific pace, considering various vaccination cost and effectiveness settings.

摘要

本研究采用强制控制技术和疫苗接种博弈论来研究具有短暂或逐渐减弱免疫力的疾病动态。我们的模型使用 ABC 分数阶导数机制来展示非药物干预措施(如个人保护或意识、隔离和检疫)的效果,以模拟无限和均匀分布人群中传染病传播的基本控制策略。全面的进化博弈论研究量化了人们接种疫苗选择的重大影响,政府力量参与疫苗接种计划以改善强制性控制措施,以减少疫情传播。该模型使用上述干预选项作为控制策略,以减少人类社会中的疾病流行率。同样,我们的模拟结果表明,即使疾病传播速度更快,联合控制策略也能发挥出色的效果。传播率缓慢会减缓疫情爆发,但适度的控制技术可以重新建立无病平衡点。预防接种调节了三个阶段之间的边界,而个人保护、隔离和检疫方法则减少了现有地方的疾病传播。因此,成功结合这三种干预措施可以降低疫情或大流行的规模,如线图和 3D 表面图所示。我们首次使用分数阶导数来展示描绘模型动态的相轨迹图,如果免疫以特定速度减弱,考虑到各种疫苗接种成本和效果设置。

https://cdn.ncbi.nlm.nih.gov/pmc/blobs/a28e/11637059/a58eb36f14f9/41598_2024_61211_Fig1_HTML.jpg

文献AI研究员

20分钟写一篇综述,助力文献阅读效率提升50倍。

立即体验

用中文搜PubMed

大模型驱动的PubMed中文搜索引擎

马上搜索

文档翻译

学术文献翻译模型,支持多种主流文档格式。

立即体验