Suppr超能文献

重组磷脂酶C-ζ蛋白作为卵母细胞激活失败临床治疗的治疗性干预措施的研发

Development of Recombinant PLC-Zeta Protein as a Therapeutic Intervention for the Clinical Treatment of Oocyte Activation Failure.

作者信息

Saleh Alaaeldin, Thanassoulas Angelos, Aliyev Elnur, Swann Karl, Naija Azza, Yalcin Huseyin C, Lai F Anthony, Nomikos Michail

机构信息

Department of Basic Medical Sciences, College of Medicine, QU Health, Qatar University, Doha 2713, Qatar.

School of Biosciences, Cardiff University, Cardiff CF10 3AX, UK.

出版信息

Biomedicines. 2024 May 27;12(6):1183. doi: 10.3390/biomedicines12061183.

Abstract

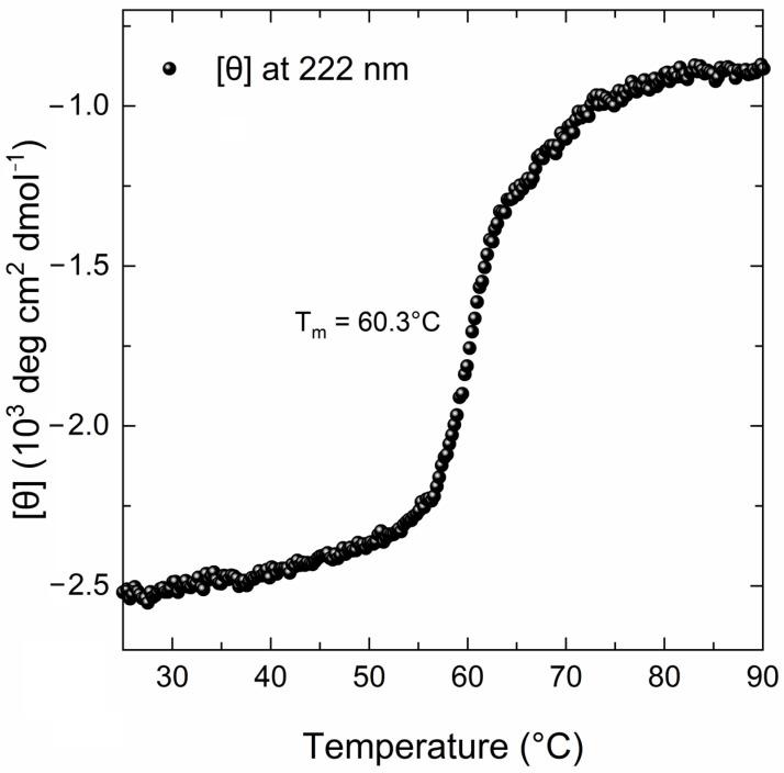
The sperm-specific phospholipase C zeta (PLCζ) protein is widely considered as the predominant physiological stimulus for initiating the Ca release responsible for oocyte activation during mammalian fertilization. The increasing number of genetic and clinical reports that directly link PLCζ defects and/or deficiencies with oocyte activation failure (OAF) necessitates the use of a powerful therapeutic intervention to overcome such cases of male factor infertility. Currently, in vitro fertilization (IVF) clinics treat OAF cases after intracytoplasmic sperm injection (ICSI) with Ca ionophores. Despite their successful use, such chemical agents are unable to trigger the physiological pattern of Ca oscillations. Moreover, the safety of these ionophores is not yet fully established. We have previously demonstrated that recombinant PLCζ protein can be successfully used to rescue failed oocyte activation, resulting in efficient blastocyst formation. Herein, we produced a maltose binding protein (MBP)-tagged recombinant human PLCζ protein capable of inducing Ca oscillations in mouse oocytes similar to those observed at fertilization. Circular dichroism (CD) experiments revealed a stable, well-folded protein with a high helical content. Moreover, the recombinant protein could retain its enzymatic properties for at least up to 90 days after storage at -80 °C. Finally, a chick embryo model was employed and revealed that exposure of fertilized chicken eggs to MBP-PLCζ did not alter the embryonic viability when compared to the control, giving a first indication of its safety. Our data support the potential use of the MBP-PLCζ recombinant protein as an effective therapeutic tool but further studies are required prior to its use in a clinical setting.

摘要

精子特异性磷脂酶Cζ(PLCζ)蛋白被广泛认为是在哺乳动物受精过程中引发负责卵母细胞激活的钙释放的主要生理刺激物。越来越多的遗传学和临床报告直接将PLCζ缺陷和/或缺乏与卵母细胞激活失败(OAF)联系起来,这就需要使用一种强大的治疗干预措施来克服这类男性因素不孕症病例。目前,体外受精(IVF)诊所使用钙离子载体对卵胞浆内单精子注射(ICSI)后出现的OAF病例进行治疗。尽管这些化学试剂使用成功,但它们无法触发钙振荡的生理模式。此外,这些离子载体的安全性尚未完全确立。我们之前已经证明,重组PLCζ蛋白可以成功用于挽救失败的卵母细胞激活,从而高效形成囊胚。在此,我们制备了一种带有麦芽糖结合蛋白(MBP)标签的重组人PLCζ蛋白,它能够在小鼠卵母细胞中诱导出类似于受精时观察到的钙振荡。圆二色性(CD)实验显示该蛋白结构稳定、折叠良好,且螺旋含量高。此外,该重组蛋白在-80°C储存至少90天后仍能保持其酶活性。最后,采用鸡胚模型,结果显示与对照组相比,将受精鸡蛋暴露于MBP-PLCζ中不会改变胚胎活力,这初步表明了其安全性。我们的数据支持将MBP-PLCζ重组蛋白作为一种有效的治疗工具的潜在用途,但在临床应用之前还需要进一步研究。

https://cdn.ncbi.nlm.nih.gov/pmc/blobs/1c22/11201047/81d3a0617d1e/biomedicines-12-01183-g001.jpg

文献AI研究员

20分钟写一篇综述,助力文献阅读效率提升50倍。

立即体验

用中文搜PubMed

大模型驱动的PubMed中文搜索引擎

马上搜索

文档翻译

学术文献翻译模型,支持多种主流文档格式。

立即体验