Suppr超能文献

吡咯赖氨酰-tRNA 合成酶的进化:从产甲烷作用到遗传密码扩展。

Evolution of Pyrrolysyl-tRNA Synthetase: From Methanogenesis to Genetic Code Expansion.

机构信息

Department of Chemistry, Institute of Physical Chemistry, University of Basel, 4058 Basel, Switzerland.

Department of Biosystems Science and Engineering, ETH Zurich, 4058 Basel, Switzerland.

出版信息

Chem Rev. 2024 Aug 28;124(16):9580-9608. doi: 10.1021/acs.chemrev.4c00031. Epub 2024 Jul 2.

Abstract

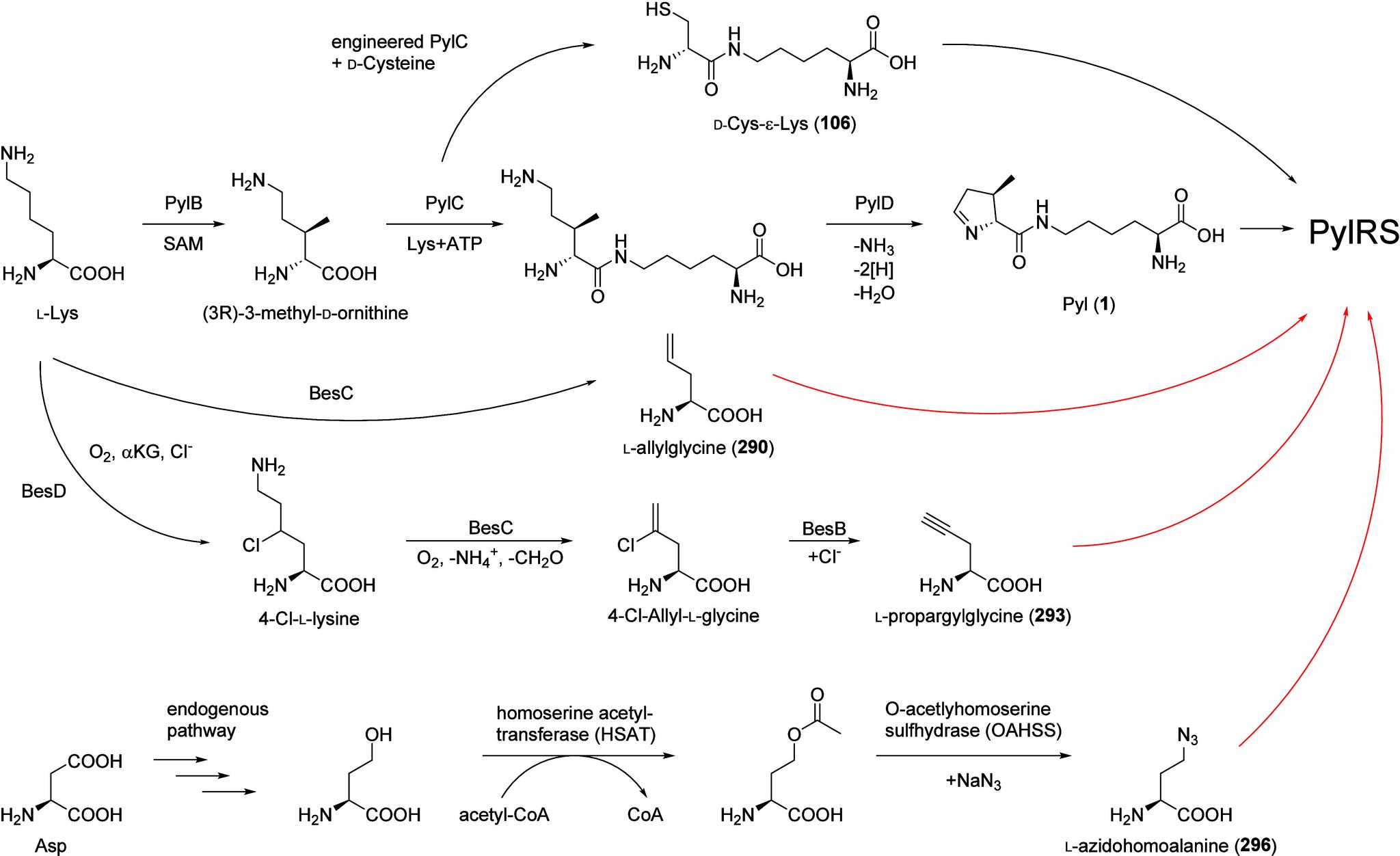
Over 20 years ago, the pyrrolysine encoding translation system was discovered in specific archaea. Our Review provides an overview of how the once obscure pyrrolysyl-tRNA synthetase (PylRS) tRNA pair, originally responsible for accurately translating enzymes crucial in methanogenic metabolic pathways, laid the foundation for the burgeoning field of genetic code expansion. Our primary focus is the discussion of how to successfully engineer the PylRS to recognize new substrates and exhibit higher activity. We have compiled a comprehensive list of ncAAs incorporable with the PylRS system. Additionally, we also summarize recent successful applications of the PylRS system in creating innovative therapeutic solutions, such as new antibody-drug conjugates, advancements in vaccine modalities, and the potential production of new antimicrobials.

摘要

20 多年前,在特定的古菌中发现了吡咯赖氨酸编码翻译系统。我们的综述概述了曾经晦涩难懂的吡咯赖氨酸-tRNA 合成酶(PylRS)tRNA 对,最初负责准确翻译产甲烷代谢途径中关键的酶,如何为新兴的遗传密码扩展领域奠定了基础。我们主要关注的是讨论如何成功地对 PylRS 进行工程改造,以识别新的底物并提高其活性。我们已经编制了一份可与 PylRS 系统结合使用的 ncAA 的综合清单。此外,我们还总结了 PylRS 系统在创造创新治疗解决方案方面的最新成功应用,例如新的抗体药物偶联物、疫苗模式的进展,以及新抗菌药物的潜在生产。

https://cdn.ncbi.nlm.nih.gov/pmc/blobs/4748/11363022/cf526afcbf1c/cr4c00031_0001.jpg

文献AI研究员

20分钟写一篇综述,助力文献阅读效率提升50倍。

立即体验

用中文搜PubMed

大模型驱动的PubMed中文搜索引擎

马上搜索

文档翻译

学术文献翻译模型,支持多种主流文档格式。

立即体验