Suppr超能文献

基于临床生物标志物的生物衰老与良性前列腺增生风险:一项大型前瞻性队列研究。

Clinical biomarker-based biological aging and risk of benign prostatic hyperplasia: A large prospective cohort study.

作者信息

Huang Qiao, Li Bing-Hui, Wang Yong-Bo, Zi Hao, Zhang Yuan-Yuan, Li Fei, Fang Cheng, Tang Shi-Di, Jin Ying-Hui, Huang Jiao, Zeng Xian-Tao

机构信息

Center for Evidence-Based and Translational Medicine Zhongnan Hospital of Wuhan University Wuhan China.

Department of Evidence-Based Medicine and Clinical Epidemiology, Second School of Clinical Medicine Wuhan University Wuhan China.

出版信息

Aging Med (Milton). 2024 Jun 14;7(3):393-405. doi: 10.1002/agm2.12331. eCollection 2024 Jun.

Abstract

OBJECTIVE

Chronological age (CAge), biological age (BAge), and accelerated age (AAge) are all important for aging-related diseases. CAge is a known risk factor for benign prostatic hyperplasia (BPH); However, the evidence of association of BAge and AAge with BPH is limited. This study aimed to evaluate the association of CAge, Bage, and AAge with BPH in a large prospective cohort.

METHOD

A total of 135,933 males without BPH at enrolment were extracted from the UK biobank. We calculated three BAge measures (Klemera-Doubal method, KDM; PhenoAge; homeostatic dysregulation, HD) based on 16 biomarkers. Additionally, we calculated KDM-BAge and PhenoAge-BAge measures based on the Levine method. The KDM-AAge and PhenoAge-AAge were assessed by the difference between CAge and BAge and were standardized (mean = 0 and standard deviation [SD] = 1). Cox proportional hazard models were applied to assess the associations of CAge, Bage, and AAge with incident BPH risk.

RESULTS

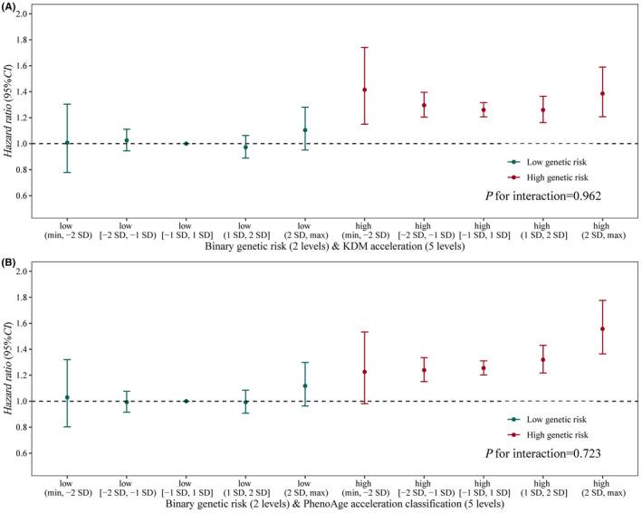
During a median follow-up of 13.150 years, 11,811 (8.690%) incident BPH were identified. Advanced CAge and BAge measures were associated with an increased risk of BPH, showing threshold effects at a later age (all for nonlinearity <0.001). Nonlinear relationships between AAge measures and risk of BPH were also found for KDM-AAge ( = 0.041) and PhenoAge-AAge ( = 0.020). Compared to the balance comparison group (-1 SD < AAge < 1 SD), the accelerated aging group (AAge > 2 SD) had a significantly elevated BPH risk with hazard ratio (HR) of 1.115 (95% CI, 1.000-1.223) for KDM-AAge and 1.180 (95% CI, 1.068-1.303) for PhenoAge-AAge, respectively. For PhenoAge-AAge, subgroup analysis of the accelerated aging group showed an increased HR of 1.904 (95% CI, 1.374-2.639) in males with CAge <50 years and 1.233 (95% CI, 1.088-1.397) in those having testosterone levels <12 nmol/L. Moreover, AAge-associated risk of BPH was independent of and additive to genetic risk.

CONCLUSIONS

Biological aging is an independent and modifiable risk factor for BPH. We suggest performing active health interventions to slow biological aging, which will help mitigate the progression of prostate aging and further reduce the burden of BPH.

摘要

目的

实足年龄(CAge)、生物学年龄(BAge)和加速年龄(AAge)对于与衰老相关的疾病均很重要。实足年龄是良性前列腺增生(BPH)的已知风险因素;然而,生物学年龄和加速年龄与良性前列腺增生关联的证据有限。本研究旨在评估在一个大型前瞻性队列中实足年龄、生物学年龄和加速年龄与良性前列腺增生的关联。

方法

从英国生物银行中提取了总共135933名入组时无良性前列腺增生的男性。我们基于16种生物标志物计算了三种生物学年龄测量指标(克莱梅拉-杜巴尔方法,KDM;表型年龄;内稳态失调,HD)。此外,我们基于莱文方法计算了KDM-生物学年龄和表型年龄-生物学年龄测量指标。KDM-加速年龄和表型年龄-加速年龄通过实足年龄与生物学年龄的差值进行评估并进行标准化(均值 = 0,标准差[SD] = 1)。应用Cox比例风险模型评估实足年龄、生物学年龄和加速年龄与新发良性前列腺增生风险的关联。

结果

在中位随访13.150年期间,识别出11811例(8.690%)新发良性前列腺增生病例。较高的实足年龄和生物学年龄测量指标与良性前列腺增生风险增加相关,在较高年龄时显示出阈值效应(所有非线性检验P<0.001)。对于KDM-加速年龄(P = 0.041)和表型年龄-加速年龄(P = 0.020),也发现加速年龄测量指标与良性前列腺增生风险之间存在非线性关系。与平衡比较组(-1 SD < AAge < 1 SD)相比,加速衰老组(AAge > 2 SD)的良性前列腺增生风险显著升高,KDM-加速年龄的风险比(HR)为1.115(95%CI,1.000 - 1.223),表型年龄-加速年龄的风险比为1.180(95%CI,1.068 - 1.303)。对于表型年龄-加速年龄,加速衰老组的亚组分析显示,在实足年龄<50岁的男性中HR增加至1.904(95%CI,1.374 - 2.639),在睾酮水平<12 nmol/L的男性中HR为1.233(95%CI,1.088 - 1.397)。此外,加速年龄相关的良性前列腺增生风险独立于遗传风险且与之相加。

结论

生物学衰老为良性前列腺增生的独立且可改变的风险因素。我们建议进行积极的健康干预以减缓生物学衰老,这将有助于减轻前列腺衰老的进展并进一步减轻良性前列腺增生的负担。

https://cdn.ncbi.nlm.nih.gov/pmc/blobs/67ba/11222739/8848cde21757/AGM2-7-393-g003.jpg

文献AI研究员

20分钟写一篇综述,助力文献阅读效率提升50倍。

立即体验

用中文搜PubMed

大模型驱动的PubMed中文搜索引擎

马上搜索

文档翻译

学术文献翻译模型,支持多种主流文档格式。

立即体验