Bertrans-Tubau Lluís, Martínez-Campos Sergio, Lopez-Doval Julio, Abril Meritxell, Ponsá Sergio, Salvadó Victoria, Hidalgo Manuela, Pico-Tomàs Anna, Balcazar Jose Luis, Proia Lorenzo
BETA Technological Centre- University of Vic- Central University of Catalunya (BETA- UVIC- UCC), Carretera de Roda 70, 08500, Vic, Barcelona, Spain.
Chemistry Department, University of Girona. Campus Montilivi, 17005, Girona, Spain.
Environ Sci Ecotechnol. 2024 Jun 27;22:100445. doi: 10.1016/j.ese.2024.100445. eCollection 2024 Nov.
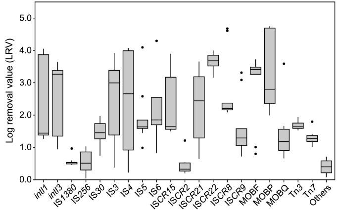
The overuse and misuse of antibiotics have accelerated the selection of antibiotic-resistant bacteria, significantly impacting human, animal, and environmental health. As aquatic environments are vulnerable to antibiotic resistance, suitable management practices should be adopted to tackle this phenomenon. Here we show an effective, nature-based solution for reducing antibiotic resistance from actual wastewater. We utilize a bioreactor that relies on benthic (biofilms) and planktonic microbial communities to treat secondary effluent from a small urban wastewater treatment plant (<10,000 population equivalent). This treated effluent is eventually released into the local aquatic ecosystem. We observe high removal efficiency for genes that provide resistance to commonly used antibiotic families, as well as for mobile genetic elements that could potentially aid in their spread. Importantly, we notice a buildup of sulfonamide ( and ) and tetracycline (, , and ) resistance genes specifically in biofilms. This advancement marks the initial step in considering this bioreactor as a nature-based, cost-effective tertiary treatment option for small UWWTPs facing antibiotic resistance challenges.
抗生素的过度使用和滥用加速了对抗生素耐药细菌的选择,对人类、动物和环境健康产生了重大影响。由于水生环境易受抗生素耐药性影响,应采取适当的管理措施来应对这一现象。在此,我们展示了一种有效的、基于自然的解决方案,用于减少实际废水中的抗生素耐药性。我们利用一个生物反应器,该反应器依靠底栖(生物膜)和浮游微生物群落来处理一个小型城市污水处理厂(人口当量<10000)的二级出水。最终,这种经过处理的出水被排放到当地水生生态系统中。我们观察到对常用抗生素家族具有抗性的基因以及可能有助于其传播的移动遗传元件的去除效率很高。重要的是,我们特别注意到生物膜中磺胺类( 和 )和四环素类( 、 和 )抗性基因的积累。这一进展标志着将这种生物反应器视为面临抗生素耐药性挑战的小型城市污水处理厂基于自然、具有成本效益的三级处理选项的第一步。