Suppr超能文献

综合评价干旱胁迫对药用植物的影响:一项荟萃分析。

Comprehensive evaluation of drought stress on medicinal plants: a meta-analysis.

机构信息

Field Crops, Aydın Adnan Menderes University, Aydın, Türkiye.

出版信息

PeerJ. 2024 Jul 22;12:e17801. doi: 10.7717/peerj.17801. eCollection 2024.

Abstract

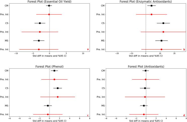
Drought stress significantly affects plants by altering their physiological and biochemical processes, which can severely limit their growth and development. Similarly, drought has severe negative effects on medicinal plants, which are essential for healthcare. The effects are particularly significant in areas that rely mostly on traditional medicine, which might potentially jeopardize both global health and local economies. Understanding effects of droughts on medicinal plants is essential for developing strategies to enhance plant adaptability to drought stress, which is vital for sustaining agricultural productivity under changing climatic conditions. In this study, a meta-analysis was conducted on 27 studies examining various parameters such as plant yield, chlorophyll content, relative water content, essential oil content, essential oil yield, non-enzymatic antioxidants, enzymatic antioxidants, phenols, flavonoids, and proline content. The analysis explored the effects of drought across different stress conditions (control, moderate, and severe) to gain deeper insights into the drought's impact. The categorization of these stress conditions was based on field or soil capacity: control (100-80%), moderate (80-50%), and severe (below 50%). This classification was guided by the authors' descriptions in their studies. According to meta-analysis results, enzymatic antioxidants emerge as the most responsive parameters to stress. Other parameters such as relative water content (RWC) and yield also exhibit considerable negative mean effect sizes under all three stress conditions. Therefore, when evaluating the impacts of drought stress on medicinal plants, it is beneficial to include these three parameters (enzymatic antioxidants, RWC, and yield) in an evaluation of drought stress. The chlorophyll content has been determined not to be a reliable indicator for measuring impact of drought stress. Also, measuring antioxidants such as flavonoids and phenols could be a better option than using radical scavenging methods like DPPH (2, 2-difenil-1-pikrilhidrazil), FRAP (ferric reducing antioxidant power), and ABTS (2, 2'-Azino-bis (3-ethylbenzothiazoline-6-sulfonic acid)).

摘要

干旱胁迫通过改变植物的生理和生化过程显著影响植物,这可能严重限制它们的生长和发育。同样,干旱对药用植物也有严重的负面影响,而药用植物对医疗保健至关重要。在主要依赖传统医学的地区,这种影响尤其显著,这可能会危及全球健康和当地经济。了解干旱对药用植物的影响对于制定增强植物对干旱胁迫适应性的策略至关重要,这对于在气候变化条件下维持农业生产力至关重要。在这项研究中,对 27 项研究进行了荟萃分析,这些研究检查了各种参数,如植物产量、叶绿素含量、相对水含量、精油含量、精油产量、非酶抗氧化剂、酶抗氧化剂、酚类、类黄酮和脯氨酸含量。该分析探讨了不同胁迫条件(对照、中度和重度)下干旱对植物的影响,以更深入地了解干旱的影响。这些胁迫条件的分类是基于田间或土壤能力:对照(100-80%)、中度(80-50%)和重度(低于 50%)。这一分类是根据作者在研究中的描述进行的。根据荟萃分析结果,酶抗氧化剂是对胁迫最敏感的参数。其他参数,如相对水含量(RWC)和产量,在所有三种胁迫条件下也表现出相当大的负平均效应大小。因此,在评估干旱胁迫对药用植物的影响时,在评估干旱胁迫时,将这三个参数(酶抗氧化剂、RWC 和产量)纳入评估是有益的。叶绿素含量被确定为衡量干旱胁迫影响的不可靠指标。此外,测量抗氧化剂,如类黄酮和酚类,可能比使用 DPPH(2,2-二苯基-1-苦基肼)、FRAP(铁还原抗氧化能力)和 ABTS(2,2'-Azino-bis(3-ethylbenzothiazoline-6-sulfonic acid))等自由基清除方法更好。

https://cdn.ncbi.nlm.nih.gov/pmc/blobs/cac3/11271654/c87b768c7a6e/peerj-12-17801-g001.jpg

文献AI研究员

20分钟写一篇综述,助力文献阅读效率提升50倍。

立即体验

用中文搜PubMed

大模型驱动的PubMed中文搜索引擎

马上搜索

文档翻译

学术文献翻译模型,支持多种主流文档格式。

立即体验