Suppr超能文献

利用.属放线菌转化萜类和甾体

Transformation of Terpenoids and Steroids Using Actinomycetes of the Genus .

机构信息

Institute of Ecology and Genetics of Microorganisms of the Ural Branch of the Russian Academy of Sciences, Perm Federal Research Center of the Ural Branch of the Russian Academy of Sciences, 13 Golev Str., 614081 Perm, Russia.

Department of Microbiology and Immunology, Perm State University, 15 Bukirev Str., 614990 Perm, Russia.

出版信息

Molecules. 2024 Jul 18;29(14):3378. doi: 10.3390/molecules29143378.

Abstract

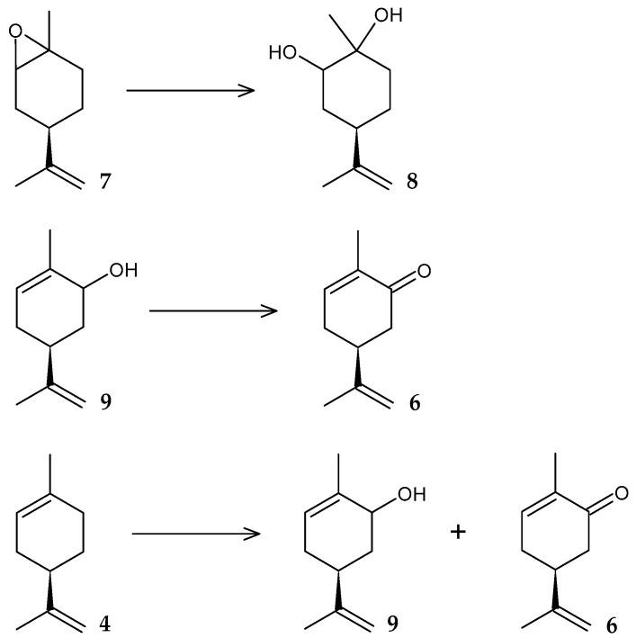
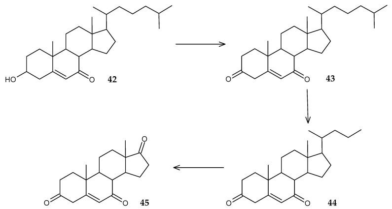
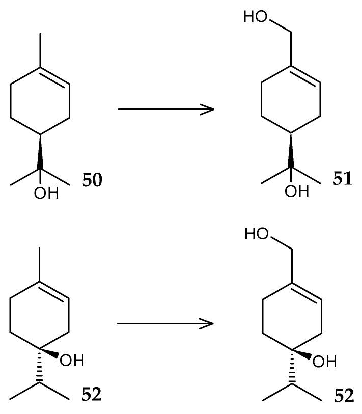
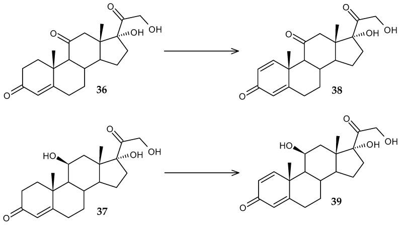
Terpenoids and steroids are secondary plant and animal metabolites and are widely used to produce highly effective pharmacologically significant compounds. One of the promising approaches to the transformation of these compounds to form bioactive metabolites is their transformation using microorganisms. spp. are one of the most developed objects in biotechnology due to their exceptional metabolic capabilities and resistance to extreme environmental conditions. In this review, information on the processes of biotransformation of terpenoid and steroid compounds by actinomycetes of the genus and their molecular genetic bases are most fully collected and analyzed for the first time. Examples of the use of both native whole-cell catalysts and mutant strains and purified enzyme systems for the production of derivatives of terpenoids and steroids are given.

摘要

萜类化合物和甾体化合物是植物和动物的次生代谢物,广泛用于生产具有高度药效的化合物。利用微生物转化这些化合物形成生物活性代谢物是一种很有前途的方法。由于其特殊的代谢能力和对极端环境条件的抗性,放线菌属是生物技术中最发达的对象之一。在这篇综述中,首次最全面地收集和分析了放线菌属放线菌对萜类化合物和甾体化合物的生物转化过程及其分子遗传基础的信息。本文还给出了利用天然全细胞催化剂和突变株以及纯化的酶系统生产萜类化合物和甾体化合物衍生物的实例。

https://cdn.ncbi.nlm.nih.gov/pmc/blobs/068e/11279926/6798eb57419b/molecules-29-03378-g001.jpg

文献AI研究员

20分钟写一篇综述,助力文献阅读效率提升50倍。

立即体验

用中文搜PubMed

大模型驱动的PubMed中文搜索引擎

马上搜索

文档翻译

学术文献翻译模型,支持多种主流文档格式。

立即体验