Suppr超能文献

严重急性呼吸综合征冠状病毒2(SARS-CoV-2)的分子进化:聚焦于意大利翁布里亚的奥密克戎变体

SARS-CoV-2 Molecular Evolution: A Focus on Omicron Variants in Umbria, Italy.

作者信息

Bicchieraro Giulia, Ciurnelli Raffaella, Graziani Alessandro, Wong Alicia Yoke Wei, Camilloni Barbara, Mencacci Antonella, Spaccapelo Roberta

机构信息

Department of Medicine and Surgery, University of Perugia, 06132 Perugia, Italy.

Medical Microbiology Section, Santa Maria della Misericordia Hospital, 06132 Perugia, Italy.

出版信息

Microorganisms. 2024 Jun 29;12(7):1330. doi: 10.3390/microorganisms12071330.

Abstract

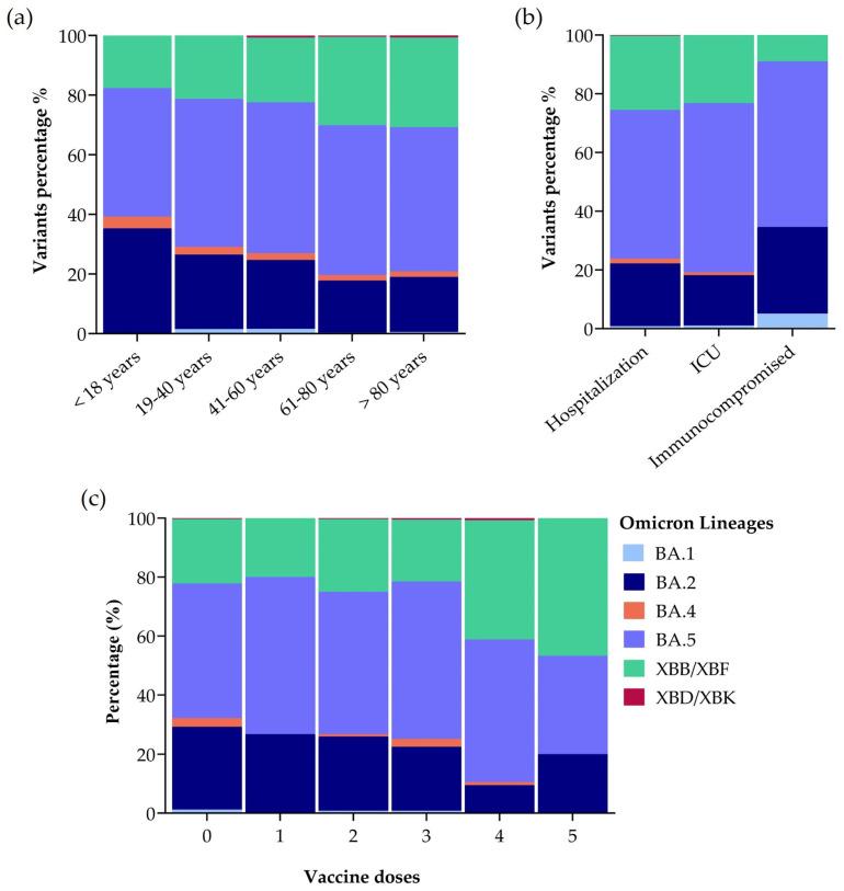
Severe acute respiratory syndrome coronavirus 2 (SARS-CoV-2) has caused more than 6 million deaths worldwide, and the spread of new variants over time increased the ability of this virus to cause infection. The Omicron variant was detected for the first time in Umbria, a region of central Italy, in November 2021 and it induced an unprecedented increase in the number of infection cases. Here, we analysed 3300 SARS-CoV-2 positive samples collected in Umbria between April 2022 and December 2023. We traced the molecular evolution of SARS-CoV-2 variants over time through the Next-Generation Sequencing (NGS) approach. We assessed correlation between SARS-CoV-2 infection and patients' health status. In total, 17.3% of our samples came from patients hospitalised as a consequence of COVID-19 infection even though 81.4% of them received at least three vaccine doses. We identified only Omicron variants, and the BA.5 lineage was detected in the majority of our samples (49.2%). Omicron variants outcompeted each other through the acquisition of mutations especially in Spike glycoprotein that are fingerprints of each variant. Viral antigenic evolution confers higher immunological escape and makes a continuous improvement of vaccine formulation necessary. The continuous update of international genomic databases with sequencing results obtained by emergent pathogens is essential to manage a possible future pandemic.

摘要

严重急性呼吸综合征冠状病毒2(SARS-CoV-2)已在全球造成超过600万人死亡,随着时间的推移,新变种的传播增加了这种病毒引起感染的能力。2021年11月,在意大利中部的翁布里亚地区首次检测到奥密克戎变种,它导致感染病例数量前所未有的增加。在此,我们分析了2022年4月至2023年12月期间在翁布里亚收集的3300份SARS-CoV-2阳性样本。我们通过下一代测序(NGS)方法追踪了SARS-CoV-2变种随时间的分子进化。我们评估了SARS-CoV-2感染与患者健康状况之间的相关性。尽管我们样本中有81.4%的患者至少接种了三剂疫苗,但仍有17.3%的样本来自因COVID-19感染而住院的患者。我们仅鉴定出奥密克戎变种,并且在我们的大多数样本(49.2%)中检测到BA.5谱系。奥密克戎变种通过获取突变相互竞争,特别是在刺突糖蛋白中的突变,这些突变是每个变种的特征。病毒抗原进化赋予更高的免疫逃逸能力,因此需要不断改进疫苗配方。用新兴病原体获得的测序结果持续更新国际基因组数据库对于应对未来可能的大流行至关重要。

https://cdn.ncbi.nlm.nih.gov/pmc/blobs/5837/11279337/1bff698a8698/microorganisms-12-01330-g001.jpg

文献AI研究员

20分钟写一篇综述,助力文献阅读效率提升50倍。

立即体验

用中文搜PubMed

大模型驱动的PubMed中文搜索引擎

马上搜索

文档翻译

学术文献翻译模型,支持多种主流文档格式。

立即体验