Suppr超能文献

聚苯乙烯微塑料对黄土(灰钙土)吸附Pb(II)的影响及其机制

Effect of Polystyrene Microplastics on Pb(II) Adsorption onto a Loessial Soil (Sierozem) and Its Mechanism.

作者信息

Zhang Yin, Zhao Baowei, Zhang Xin, Li Yingquan, Liu Hui, Zhang Jian, Wang Tao

机构信息

School of Environmental and Municipal Engineering, Lanzhou Jiaotong University, Lanzhou 730070, Gansu Province, P. R. China.

出版信息

ACS Omega. 2024 Jul 13;9(29):32021-32032. doi: 10.1021/acsomega.4c03809. eCollection 2024 Jul 23.

Abstract

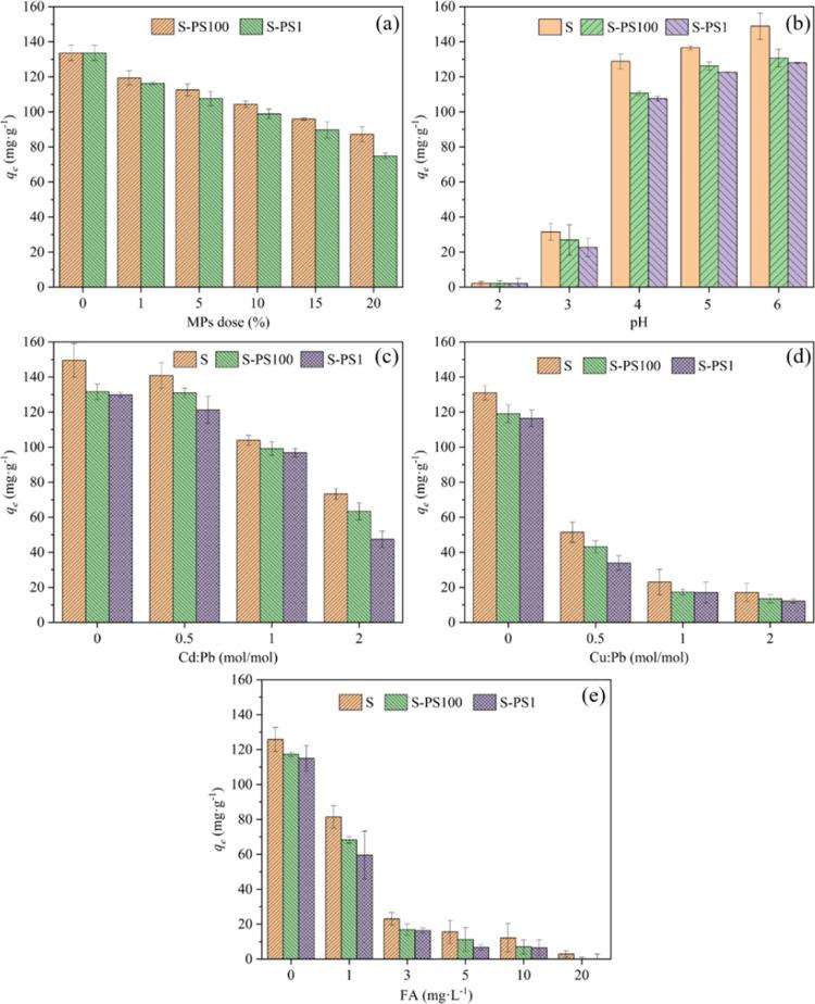
Microplastics (MPs) have received significant attention recently. However, their influence on soil heavy metal adsorption remains unclear. The effect of polystyrene (PS) MPs on the adsorption of Pb(II) onto a loessial soil (sierozem) was studied by batch experiments in single soil (S), soil with 1 mm PS (S-PS1), and soil with 100 μm PS (S-PS100) systems. The mechanisms of Pb(II) adsorption reduction were investigated. The adsorption of Pb(II) reached equilibrium within 12 h, and the pseudo-second-order model fitted the adsorption processes best. The Langmuir adsorption model provided a better fit to the isotherms, compared to the Freundlich one. The presence of PS decreased the level of adsorption of Pb(II). Larger PS particle size, dose, and fulvic acid (FA) concentration inhibited Pb(II) adsorption onto the soil. The solution pH value showed a positive correlation with the adsorption amount. The adsorption amounts ( ) of Pb(II) in binary metal systems (Cu-Pb and Cd-Pb) were lower than those in single Pb systems, indicating the competitive adsorption among the ions. The adsorption amount presented a trend of S > S-PS100 > S-PS1. The primary mechanism on which PS reduced the adsorption of Pb(II) was the "dilution effect" of MPs. Conclusively, the presence of MPs might elevate the availability of heavy metals by reducing the soil's adsorption capacity for them and then amplifying the risk of heavy metal contamination and migration.

摘要

微塑料(MPs)近年来受到了广泛关注。然而,它们对土壤重金属吸附的影响仍不明确。通过在单一土壤(S)、含1毫米聚苯乙烯(PS)的土壤(S - PS1)和含100微米PS的土壤(S - PS100)体系中的批量实验,研究了聚苯乙烯微塑料对黄土状土壤(灰钙土)上Pb(II)吸附的影响。研究了Pb(II)吸附减少的机制。Pb(II)的吸附在12小时内达到平衡,伪二级模型对吸附过程拟合最佳。与弗伦德里希模型相比,朗缪尔吸附模型对等温线的拟合更好。PS的存在降低了Pb(II)的吸附水平。较大的PS粒径、剂量和富里酸(FA)浓度抑制了Pb(II)在土壤上的吸附。溶液pH值与吸附量呈正相关。二元金属体系(Cu - Pb和Cd - Pb)中Pb(II)的吸附量低于单一Pb体系中的吸附量,表明离子间存在竞争吸附。吸附量呈现S > S - PS100 > S - PS1的趋势。PS降低Pb(II)吸附的主要机制是微塑料的“稀释效应”。总之,微塑料的存在可能通过降低土壤对重金属的吸附能力来提高重金属的有效性,进而放大重金属污染和迁移的风险。

https://cdn.ncbi.nlm.nih.gov/pmc/blobs/ff0a/11270551/75e5deffffd3/ao4c03809_0001.jpg

文献AI研究员

20分钟写一篇综述,助力文献阅读效率提升50倍。

立即体验

用中文搜PubMed

大模型驱动的PubMed中文搜索引擎

马上搜索

文档翻译

学术文献翻译模型,支持多种主流文档格式。

立即体验