Suppr超能文献

家族中失去亲人与生物衰老:NIMHD 社会表观基因组计划。

Familial Loss of a Loved One and Biological Aging: NIMHD Social Epigenomics Program.

机构信息

Department of Epidemiology, Mailman School of Public Health, Columbia University, New York, New York.

Robert N. Butler Columbia Aging Center, Mailman School of Public Health, Columbia University, New York, New York.

出版信息

JAMA Netw Open. 2024 Jul 1;7(7):e2421869. doi: 10.1001/jamanetworkopen.2024.21869.

Abstract

IMPORTANCE

The link between familial loss of a loved one and long-term health decline is complex and not fully understood.

OBJECTIVE

To test associations of losing a parent, sibling, child, or partner or spouse with accelerated biological aging.

DESIGN, SETTING, AND PARTICIPANTS: Data from the National Longitudinal Study of Adolescent to Adult Health, a US population-based longitudinal cohort study, were analyzed. Participants were enrolled from 1994 to 1995 for wave 1, while in grades 7 to 12, and followed up through wave 5 in 2018. The study analyzed participant reports of loss collected at each wave from 1 to 5 over 24 years and used a banked wave 5 blood sample for subsequent DNA methylation testing and epigenetic clock calculation from 2018 to 2024. Data were analyzed from January 2022 to July 2024.

EXPOSURE

Loss of biological parents or parental figures, partners or spouses, siblings, or children at waves 1 to 3 or during childhood, adolescence (aged <18 years), or adulthood at wave 4 to wave 5 (aged 18-43 years).

MAIN OUTCOMES AND MEASURES

Biological aging assessed from blood DNA methylation using the Horvath, PhenoAge, GrimAge, and DunedinPACE epigenetic clocks at wave 5.

RESULTS

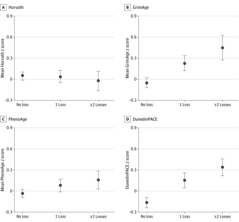
Data from 3963 participants were analyzed, with a weighted mean (range) age of 38.36 (36.78-39.78) years at wave 5; 2370 (50.3%) were male, 720 (15.97%) were Black, 400 (8.18%) were Hispanic, and 2642 (72.53%) were White. Nearly 40% of participants experienced loss by wave 5 when they were aged 33 to 43 years, and participants who were Black (379 participants [56.67%]), Hispanic (152 participants [41.38%]), and American Indian (18 participants [56.08%]) experienced a greater proportion of losses compared with White participants (884 participants [34.09%]). Those who experienced 2 or more losses tended to have older biological ages for several of the clocks (PhenoAge β = 0.15; 95% CI, 0.02 to 0.28; GrimAge β = 0.27; 95% CI, 0.09 to 0.45; DunedinPACE β = 0.22; 95% CI, 0.10 to 0.34) compared with those with no losses. In contrast, there were no associations with 2 or more losses for the Horvath clock (β = -0.08; 95% CI, -0.23 to 0.06).

CONCLUSIONS AND RELEVANCE

This study reveals associations between various measures of loss experienced from childhood to adulthood and biological aging in a diverse sample of the US population. These findings underscore the potentially enduring impact of loss on biological aging even before middle age and may contribute to understanding racial and ethnic disparities in health and mortality.

摘要

重要性

失去亲人与长期健康状况下降之间的联系很复杂,尚未完全了解。

目的

检验失去父母、兄弟姐妹、子女或伴侣或配偶与加速生物衰老之间的关联。

设计、地点和参与者:对美国基于人群的纵向队列研究——青少年至成年健康纵向研究的数据进行了分析。参与者在 1994 年至 1995 年期间入组第 1 波,当时他们处于 7 至 12 年级,并在 2018 年随访至第 5 波。该研究分析了参与者在 24 年的 5 个波次(1 到 5 波次)中每次波次报告的损失情况,并使用在 2018 年至 2024 年从第 5 波次采集的血样进行后续 DNA 甲基化测试和表观遗传时钟计算。数据分析于 2022 年 1 月至 2024 年 7 月进行。

暴露情况

在第 1 到 3 波次或在儿童期、青春期(<18 岁)或成年期(第 4 波次至第 5 波次,18-43 岁)期间失去亲生父母或父母形象、伴侣或配偶、兄弟姐妹或子女。

主要结局和测量指标

在第 5 波次时,使用 Horvath、PhenoAge、GrimAge 和 DunedinPACE 表观遗传时钟,通过血液 DNA 甲基化评估生物衰老。

结果

对 3963 名参与者的数据进行了分析,第 5 波次时的加权平均(范围)年龄为 38.36 岁(36.78-39.78);2370 名(50.3%)为男性,720 名(15.97%)为黑人,400 名(8.18%)为西班牙裔,2642 名(72.53%)为白人。在 33 岁至 43 岁时,近 40%的参与者经历了第 5 波次的损失,与白人参与者相比,黑人(379 名参与者[56.67%])、西班牙裔(152 名参与者[41.38%])和美国印第安人(18 名参与者[56.08%])经历的损失比例更高。与没有损失的参与者相比,经历 2 次或更多次损失的参与者的几种时钟的生物年龄往往更大(PhenoAgeβ=0.15;95%CI,0.02 至 0.28;GrimAgeβ=0.27;95%CI,0.09 至 0.45;DunedinPACEβ=0.22;95%CI,0.10 至 0.34)。相比之下,Horvath 时钟与 2 次或更多次损失之间没有关联(β=-0.08;95%CI,-0.23 至 0.06)。

结论和相关性

本研究揭示了从儿童期到成年期经历的各种损失测量指标与美国人口中生物衰老之间的关联。这些发现强调了损失对生物衰老的潜在持久影响,甚至在中年之前,这可能有助于理解健康和死亡率方面的种族和民族差异。

https://cdn.ncbi.nlm.nih.gov/pmc/blobs/5e7d/11287397/5c3e66fae407/jamanetwopen-e2421869-g001.jpg

文献AI研究员

20分钟写一篇综述,助力文献阅读效率提升50倍。

立即体验

用中文搜PubMed

大模型驱动的PubMed中文搜索引擎

马上搜索

文档翻译

学术文献翻译模型,支持多种主流文档格式。

立即体验