Suppr超能文献

去甲肾上腺素等效评分和血管活性药物评分对脓毒症和脓毒性休克患者的预后评估:一项回顾性队列研究

Prognostic evaluation of the norepinephrine equivalent score and the vasoactive-inotropic score in patients with sepsis and septic shock: a retrospective cohort study.

作者信息

Li Wenzhe, Wang Yi, Abuduaini Buzukela, Li Xiang, Pan Pengfei, Cui Jian, Yu Xiangyou

机构信息

Department of Critical Care Medicine, The First Affiliated Hospital of Xinjiang Medical University, Urumqi, Xinjiang, China.

Xinjiang Key Laboratory of Medical Animal Model Research, Urumqi, Xinjiang, China.

出版信息

Front Cardiovasc Med. 2024 Aug 2;11:1415769. doi: 10.3389/fcvm.2024.1415769. eCollection 2024.

Abstract

BACKGROUND

This study investigated the association between vasoactive medication exposure and mortality risk in patients with sepsis using the norepinephrine equivalent (NEE) score and vasoactive-inotropic score (VIS).

METHODS

This retrospective cohort study included adult patients with sepsis requiring vasoactive agents. The data were extracted from the Medical Information Mart for Intensive Care IV database. The primary outcome was 28-day mortality. Multivariate Cox regression was used to elucidate the relationship between vasoactive medication exposure and 28-day mortality, as quantified by the VIS and NEE score. Hazard ratios with 95% confidence intervals (CI) for 28-day mortality were generated, and forest plots were constructed to present the results of univariate and multivariate analyses. The Kaplan-Meier method was used to analyze the cumulative incidence of 28-day mortality. A nomogram was constructed to predict the prognosis of patients with sepsis.

RESULTS

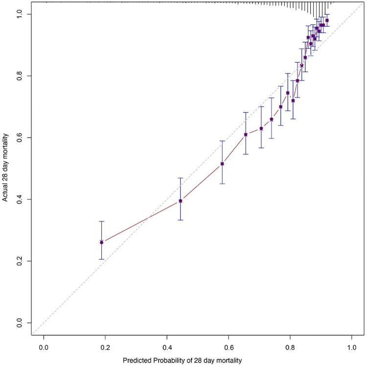
The present study encompassed 9,032 patients diagnosed with sepsis who received vasoactive therapy, of which 4,229 patients were further analyzed at the second hour after the onset of sepsis. Distinct variations in demographic data were observed between survivors ( = 3,265, 77.21%) and non-survivors ( = 964, 22.79%). Multivariate analysis indicated that several factors, including VIS >15.04 ( = 0.001), NEE >0.10 ( < 0.001), heart rate ( = 0.045), mean arterial pressure ( = 0.009), respiratory rate ( < 0.001), oxygen saturation ( < 0.001), blood urea nitrogen (BUN) ( = 0.001), and the Acute Physiology and Chronic Health Evaluation II ( < 0.001), were significantly associated with 28-day mortality in the patients with sepsis. The NEE score, respiratory rate, oxygen saturation, and BUN were incorporated into the nomogram model with a concordance index of 0.779 and an area under the curve of 0.802 (95% CI 0.787-0.818).

CONCLUSION

We found that the VIS and NEE score had favorable values for predicting mortality risk in patients with sepsis in the intensive care units. The VIS and NEE score in the second hour after sepsis onset were independently associated with 28-day mortality in patients with sepsis.

摘要

背景

本研究使用去甲肾上腺素当量(NEE)评分和血管活性-正性肌力评分(VIS)调查脓毒症患者血管活性药物暴露与死亡风险之间的关联。

方法

这项回顾性队列研究纳入了需要血管活性药物的成年脓毒症患者。数据从重症监护医学信息数据库IV中提取。主要结局是28天死亡率。采用多变量Cox回归来阐明血管活性药物暴露与28天死亡率之间的关系,通过VIS和NEE评分进行量化。生成28天死亡率的风险比及95%置信区间(CI),并构建森林图以展示单变量和多变量分析的结果。采用Kaplan-Meier法分析28天死亡率的累积发生率。构建列线图以预测脓毒症患者的预后。

结果

本研究纳入了9032例诊断为脓毒症并接受血管活性治疗的患者,其中4229例患者在脓毒症发作后第2小时进行了进一步分析。在幸存者(n = 3265,77.21%)和非幸存者(n = 964,22.79%)之间观察到人口统计学数据存在明显差异。多变量分析表明,包括VIS>15.04(P = 0.001)、NEE>0.10(P<0.001)、心率(P = 0.045)、平均动脉压(P = 0.009)、呼吸频率(P<0.001)、血氧饱和度(P<0.001)、血尿素氮(BUN)(P = 0.001)以及急性生理与慢性健康状况评分II(P<0.001)在内的几个因素与脓毒症患者的28天死亡率显著相关。NEE评分、呼吸频率、血氧饱和度和BUN被纳入列线图模型,一致性指数为0.779,曲线下面积为0.802(95%CI 0.787 - 0.818)。

结论

我们发现VIS和NEE评分在预测重症监护病房脓毒症患者的死亡风险方面具有良好价值。脓毒症发作后第2小时的VIS和NEE评分与脓毒症患者的28天死亡率独立相关。

https://cdn.ncbi.nlm.nih.gov/pmc/blobs/6424/11327820/95d5ca18e7c5/fcvm-11-1415769-g001.jpg

文献AI研究员

20分钟写一篇综述,助力文献阅读效率提升50倍。

立即体验

用中文搜PubMed

大模型驱动的PubMed中文搜索引擎

马上搜索

文档翻译

学术文献翻译模型,支持多种主流文档格式。

立即体验