Suppr超能文献

减水减肥对甜菜主根(L.)呼吸代谢的影响

Influence of Water and Fertilizer Reduction on Respiratory Metabolism in Sugar Beet Taproot ( L.).

作者信息

Chang Yuxin, Li Guolong, Jian Caiyuan, Zhang Bowen, Sun Yaqing, Li Ningning, Zhang Shaoying

机构信息

College of Agronomy, Inner Mongolia Agricultural University, Hohhot 010019, China.

Special Crops Institute, Inner Mongolia Academy of Agricultural & Animal Husbandry Science, Hohhot 010019, China.

出版信息

Plants (Basel). 2024 Aug 16;13(16):2282. doi: 10.3390/plants13162282.

Abstract

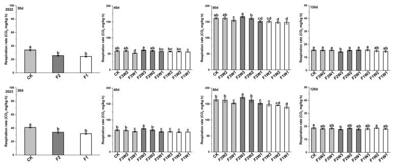
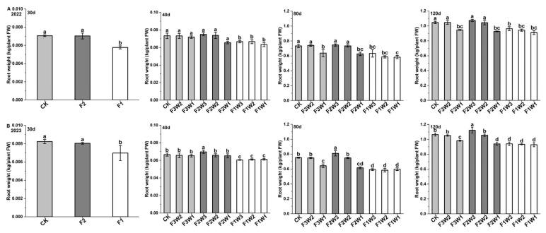
Inner Mongolia, a major region in China for growing sugar beet, faces challenges caused by unscientific water and fertilizer management. This mismanagement restricts the improvement of sugar beet yield and quality and exacerbates water waste and environmental pollution. This study aims to evaluate the effects of reduced water and fertilizer on the growth and physiological metabolism of sugar beet taproot. Field experiments were conducted in Ulanqab, Inner Mongolia, in 2022 and 2023, using a split-plot design with three levels each of fertilization and irrigation. The study analyzed the effects of reduced water and fertilizer treatments on fresh taproot weight, respiration rate, energy metabolism, respiratory enzyme activity, and gene expression in sugar beet taproot. It was found that a 10% reduction in fertilizer significantly increased the beet taproot fresh weight. Further research revealed that during the rapid leaf growth phase and the taproot and sugar growth period, a 10% reduction in fertilizer upregulated and gene expression and downregulated gene expression in the beet taproot. This increased HK and IDH activities, decreased G6PDH activity, enhanced the activity of the EMP-TCA pathway, and inhibited the PPP. Taproot weight was positively correlated with the respiration rate, ATP content, EC, and ATPase, HK, and IDH activities, thereby increasing the taproot growth rate and taproot fresh weight, with an average increase of 4.0% over two years. These findings introduce a novel method for optimizing fertilizer use, particularly beneficial in water-scarce regions. Implementing this strategy could help farmers in western Inner Mongolia and similar areas improve crop yield and sustainability. This study offers new insights into resource-efficient agricultural practices, highlighting the importance of customized fertilization strategies tailored to local environmental conditions.

摘要

内蒙古是中国主要的甜菜种植区,面临着水肥管理不科学所带来的挑战。这种管理不善限制了甜菜产量和品质的提升,加剧了水资源浪费和环境污染。本研究旨在评估减施水肥对甜菜主根生长和生理代谢的影响。2022年和2023年在内蒙古乌兰察布进行了田间试验,采用裂区设计,施肥和灌溉各设三个水平。该研究分析了减施水肥处理对甜菜主根鲜重、呼吸速率、能量代谢、呼吸酶活性和基因表达的影响。结果发现,施肥量减少10%显著增加了甜菜主根鲜重。进一步研究表明,在叶片快速生长阶段以及主根和糖分生长期,施肥量减少10%上调了甜菜主根中 和 基因的表达,下调了 基因的表达。这增加了己糖激酶(HK)和异柠檬酸脱氢酶(IDH)的活性,降低了葡萄糖-6-磷酸脱氢酶(G6PDH)的活性,增强了糖酵解-三羧酸循环(EMP-TCA)途径的活性,并抑制了磷酸戊糖途径(PPP)。主根重量与呼吸速率、ATP含量、电导率(EC)以及ATP酶、HK和IDH的活性呈正相关,从而提高了主根生长速率和主根鲜重,两年平均增幅为4.0%。这些发现引入了一种优化肥料使用的新方法,在缺水地区尤为有益。实施这一策略有助于内蒙古西部及类似地区的农民提高作物产量和可持续性。本研究为资源高效型农业实践提供了新的见解,突出了根据当地环境条件定制施肥策略的重要性。

https://cdn.ncbi.nlm.nih.gov/pmc/blobs/caa6/11360057/75c62fcf5300/plants-13-02282-g001.jpg

文献AI研究员

20分钟写一篇综述,助力文献阅读效率提升50倍。

立即体验

用中文搜PubMed

大模型驱动的PubMed中文搜索引擎

马上搜索

文档翻译

学术文献翻译模型,支持多种主流文档格式。

立即体验