Suppr超能文献

胰腺癌和慢性胰腺炎患者中瘦素与癌胚抗原相关细胞黏附分子1血浆表达的比较分析

Comparative analysis of leptin and carcinoembryonic antigen-related cell adhesion molecule 1 plasma expression in pancreatic cancer and chronic pancreatitis patients.

作者信息

Gheorghe Gina, Diaconu Carmen Cristina, Mambet Cristina, Bleotu Coralia, Ionescu Vlad Alexandru, Diaconu Camelia Cristina

机构信息

Faculty of Medicine, University of Medicine and Pharmacy Carol Davila Bucharest, 050474, Bucharest, Romania.

Internal Medicine Department, Clinical Emergency Hospital of Bucharest, 105402, Bucharest, Romania.

出版信息

Heliyon. 2024 Sep 4;10(17):e37410. doi: 10.1016/j.heliyon.2024.e37410. eCollection 2024 Sep 15.

Abstract

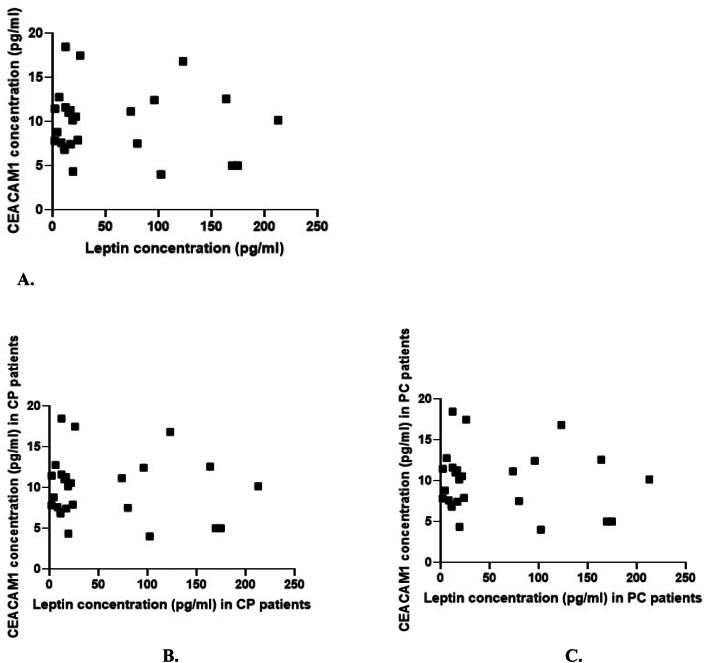
Compared to the general population, patients with chronic pancreatitis have an up to 12-fold higher risk of developing pancreatic cancer. The aim of our study was the identification of potential proteomic biomarkers to contribute to the detection of pancreatic cancer among patients with chronic pancreatitis. We initially performed a proteomic screening analysis of 105 analytes on plasma pools. To validate this finding, we quantitatively determined leptin concentrations in individual plasma samples using the ELISA technique. Additionally, we explored the plasma expression of CEACAM1, an important regulator of leptin expression in various cancer cells using the same method. The preliminary semi-quantitative proteomic analysis identified leptin as the only protein with substantially higher expression in patients with pancreatic cancer compared to those with chronic pancreatitis. Subsequently, by quantitative ELISA, we determined a higher median leptin concentration in the plasma of patients with pancreatic cancer compared to those with chronic pancreatitis. The statistical significance was maintained regardless of other variables like BMI or gender. Additionally, we explored the plasma expression of CEACAM1, an important regulator of leptin expression in various cancer cells, in order to provide insights into the complex mechanisms underlying pancreatic cancer and chronic pancreatits. CEACAM1 concentrations were higher in the plasma of the patients with pancreatic cancer than in those with chronic pancreatitis. However, we did not find a statistically significant correlation between leptin and CEACAM1 expression variation in the two study groups, with CEACAM1 concentration also dependent on other parameters such as BMI, gender, and serum triglyceride level. In conclusion, leptin seems to be a biomarker that can contribute to differentiate patients with pancreatic cancer from patients with chronic pancreatitis.

摘要

与普通人群相比,慢性胰腺炎患者患胰腺癌的风险高出多达12倍。我们研究的目的是鉴定潜在的蛋白质组学生物标志物,以有助于在慢性胰腺炎患者中检测胰腺癌。我们最初对血浆池中的105种分析物进行了蛋白质组学筛查分析。为了验证这一发现,我们使用ELISA技术定量测定了个体血浆样本中的瘦素浓度。此外,我们使用相同方法探索了CEACAM1在血浆中的表达,CEACAM1是各种癌细胞中瘦素表达的重要调节因子。初步的半定量蛋白质组学分析确定,与慢性胰腺炎患者相比,瘦素是胰腺癌患者中唯一表达明显更高的蛋白质。随后,通过定量ELISA,我们测定了胰腺癌患者血浆中的瘦素中位浓度高于慢性胰腺炎患者。无论BMI或性别等其他变量如何,统计学意义均得以维持。此外,我们探索了CEACAM1在血浆中的表达,CEACAM1是各种癌细胞中瘦素表达的重要调节因子,以便深入了解胰腺癌和慢性胰腺炎潜在的复杂机制。胰腺癌患者血浆中的CEACAM1浓度高于慢性胰腺炎患者。然而,我们在两个研究组中未发现瘦素与CEACAM1表达变化之间存在统计学上的显著相关性,CEACAM1浓度还取决于其他参数,如BMI、性别和血清甘油三酯水平。总之,瘦素似乎是一种有助于区分胰腺癌患者和慢性胰腺炎患者的生物标志物。

https://cdn.ncbi.nlm.nih.gov/pmc/blobs/e874/11408808/a93925b38de2/gr1.jpg

文献AI研究员

20分钟写一篇综述,助力文献阅读效率提升50倍。

立即体验

用中文搜PubMed

大模型驱动的PubMed中文搜索引擎

马上搜索

文档翻译

学术文献翻译模型,支持多种主流文档格式。

立即体验