Suppr超能文献

负载黄连素的纳米乳液作为天然食品防腐剂;飞秒激光辐照对其抗菌活性的影响。

Berberine-loaded nanoemulsions as a natural food preservative; the impact of femtosecond laser irradiation on the antibacterial activity.

作者信息

Parseghian Liana, Kahrarian Nastaran, Arabanian Atoosa Sadat, Moradi Alvand Zinab, Massudi Reza, Rahimi Masoud, Rafati Hasan

机构信息

Department of Phytochemistry, Medicinal Plants and Drugs Research Institute, Shahid Beheshti University, Tehran, Iran.

Department of Pharmaceutical Engineering, Medicinal Plants and Drugs Research Institute, Shahid Beheshti University, Tehran, Iran.

出版信息

Heliyon. 2024 Sep 3;10(17):e37283. doi: 10.1016/j.heliyon.2024.e37283. eCollection 2024 Sep 15.

Abstract

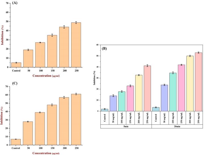
There is a growing concern among food safety regulators, the food industry, and consumers about foodborne illnesses. To improve food safety and increase shelf life, it is necessary to use natural preservatives. Natural antimicrobials are safer than artificial preservatives because they can prevent microbial resistance while also meeting consumers' demands for healthier food. This study used Berberine to enhance the antibacterial activity of essential oil nanoemulsions (SKEO NE) against () bacteria, making them a promising option as preservatives. Response Surface Methodology (RSM) was employed to determine the optimized Berberine loaded SKEO NE (Berberine/SKEO NE), resulting in a mean droplet size of 88.60 nm at 6.91, 3.21, and 0.08% w/w of surfactant, essential oil, and Berberine, respectively. Berberine utilization in SKEO NE has led to an increase in antibacterial activity. The nanoemulsion samples significantly ruptured the bacterial cell membrane, rapidly discharging cell contents. The use of a microfluidic system in tandem based on the conventional approach significantly accelerated this process. Enhancing the interaction between nanodroplets and the bacterial membrane can be achieved through the nanoemulsification process of EOs, which involves modifying their surface characteristics. This enhancement is particularly pronounced when employing microfluidic systems due to their substantial contact surface area. We investigated the potential of using femtosecond laser irradiation at a wavelength of 1040 nm to augment the antibacterial action of nanoemulsions. The combined treatment of laser and nanoemulsions significantly increased the antibacterial effect of nanoemulsions by approximately 15% for each bacterium, suggesting the potential utility of this treatment to bolster the antibacterial activity of nanoemulsions. Bacteria were trapped using optical tweezers for up to 20 min, with bacterial destruction observed starting at 3 min and exhaustive destruction evident after 20 min.

摘要

食品安全监管机构、食品行业和消费者对食源性疾病的担忧日益增加。为了提高食品安全并延长保质期,使用天然防腐剂是必要的。天然抗菌剂比人工防腐剂更安全,因为它们可以防止微生物耐药性,同时也满足消费者对更健康食品的需求。本研究使用黄连素增强香芹酮精油纳米乳液(SKEO NE)对()细菌的抗菌活性,使其成为一种有前景的防腐剂选择。采用响应面法(RSM)确定优化的负载黄连素的SKEO NE(黄连素/SKEO NE),在表面活性剂、精油和黄连素分别为6.91、3.21和0.08% w/w时,平均液滴尺寸为88.60 nm。黄连素在SKEO NE中的使用导致抗菌活性增加。纳米乳液样品显著破坏了细菌细胞膜,迅速释放细胞内容物。基于传统方法串联使用微流控系统显著加速了这一过程。通过精油的纳米乳化过程可以增强纳米液滴与细菌膜之间的相互作用,这涉及改变它们的表面特性。由于微流控系统具有较大的接触表面积,在使用时这种增强尤为明显。我们研究了使用波长为1040 nm的飞秒激光照射增强纳米乳液抗菌作用的潜力。激光和纳米乳液的联合处理使纳米乳液对每种细菌的抗菌效果显著提高约15%,表明这种处理方法有可能增强纳米乳液的抗菌活性。使用光镊捕获细菌长达20分钟,在3分钟时开始观察到细菌破坏,20分钟后明显完全破坏。

https://cdn.ncbi.nlm.nih.gov/pmc/blobs/0144/11409146/0b18acc3f5d0/ga1.jpg

文献AI研究员

20分钟写一篇综述,助力文献阅读效率提升50倍。

立即体验

用中文搜PubMed

大模型驱动的PubMed中文搜索引擎

马上搜索

文档翻译

学术文献翻译模型,支持多种主流文档格式。

立即体验