Suppr超能文献

在埃塞俄比亚奥罗米亚地区阿尔西-巴莱区的一项食管癌病例对照研究中,通过人体生物监测进行多种霉菌毒素暴露评估。

Multiple mycotoxin exposure assessment through human biomonitoring in an esophageal cancer case-control study in the Arsi-Bale districts of Oromia region of Ethiopia.

作者信息

Mulisa Girma, Pero-Gascon Roger, McCormack Valerie, Bisanz Jordan E, Talukdar Fazlur Rahman, Abebe Tamrat, De Boevre Marthe, De Saeger Sarah

机构信息

Department of Microbiology, Immunology and Parasitology, Addis Ababa University, Ethiopia; Department of Biomedical Sciences, Adama Hospital Medical College, Adama, Ethiopia.

Centre of Excellence in Mycotoxicology and Public Health, Faculty of Pharmaceutical Sciences, Ghent University, Belgium.

出版信息

Int J Hyg Environ Health. 2025 Jan;263:114466. doi: 10.1016/j.ijheh.2024.114466. Epub 2024 Sep 21.

Abstract

BACKGROUND

Esophageal cancer (EC) is a malignancy with a poor prognosis and a five-year survival rate of less than 20%. It is the ninth most frequent cancer globally and the sixth leading cause of cancer-related deaths. The incidence of EC has been found to vary significantly by geography, indicating the importance of environmental and lifestyle factors along with genetic factors in the onset of the disease. In this work, we investigated mycotoxin exposure in a case-control study from the Arsi-Bale districts of Oromia regional state in Ethiopia, where there is a high incidence of EC while alcohol and tobacco use - two established risk factors for EC - are very rare.

METHODS

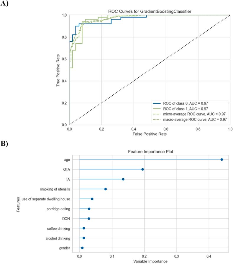
Internal exposure to 39 mycotoxins and metabolites was assessed by liquid chromatography-tandem mass spectrometry in plasma samples of EC cases (n = 166) and location-matched healthy controls (n = 166) who shared similar dietary sources. Demographic and lifestyle data were collected using structured questionnaires. Principal Component Analysis and machine learning models were used to identify the most relevant demographic, lifestyle, and mycotoxin (co-)exposure variables associated with EC. Multivariate binary logistic regression analysis was used to assess EC risk.

RESULT

Evidence of mycotoxin exposure was observed in all plasma samples, with 10 different mycotoxins being detected in samples from EC cases, while only 6 different mycotoxins were detected in samples from healthy controls. Ochratoxin A was detected in plasma from all cases and controls, while tenuazonic acid was detected in plasma of 145 (87.3%) cases and 71 (42.8%) controls. Using multivariable logistic regression analysis, exposure to tenuazonic acid (AOR = 1.88 [95% CI: 1.68-2.11]) and to multiple mycotoxins (AOR = 2.54 [95% CI: 2.10-3.07]) were positively associated with EC.

CONCLUSION

All cases and controls were exposed to at least one mycotoxin. Cases were exposed to a statistically significantly higher number of mycotoxins than controls. Exposure to tenuazonic acid and to multiple mycotoxins were associated with increased risk of EC in the study population. Although aflatoxin B1-lysine and the ratio of sphinganine to sphingosine (as a biomarker of effect to fumonisin exposure) were not assessed in this study, our result emphasizes the need to characterize the effect of mycotoxin co-exposure as part of the exposome and include it in risk assessment, since the current mycotoxin safety levels do not consider the additive or synergistic effects of mycotoxin co-exposure. Moreover, a prospective study design with regular sampling should be considered in this high incidence area of EC in Ethiopia to obtain conclusive results on the role of mycotoxin exposure in the onset and development of the disease.

摘要

背景

食管癌(EC)是一种预后较差的恶性肿瘤,五年生存率低于20%。它是全球第九大常见癌症,也是癌症相关死亡的第六大主要原因。已发现食管癌的发病率因地域差异显著,这表明环境和生活方式因素以及遗传因素在该疾病发病过程中的重要性。在本研究中,我们在埃塞俄比亚奥罗米亚州阿尔西 - 巴莱地区的一项病例对照研究中调查了霉菌毒素暴露情况,该地区食管癌发病率高,而酒精和烟草使用(食管癌的两个既定风险因素)却非常罕见。

方法

通过液相色谱 - 串联质谱法评估166例食管癌病例和166例地理位置匹配的健康对照者血浆样本中39种霉菌毒素及其代谢产物的体内暴露情况,这些对照者具有相似的饮食来源。使用结构化问卷收集人口统计学和生活方式数据。主成分分析和机器学习模型用于识别与食管癌相关的最相关的人口统计学、生活方式和霉菌毒素(共同)暴露变量。多变量二元逻辑回归分析用于评估食管癌风险。

结果

在所有血浆样本中均观察到霉菌毒素暴露的证据,食管癌病例样本中检测到10种不同的霉菌毒素,而健康对照样本中仅检测到6种不同的霉菌毒素。所有病例和对照的血浆中均检测到赭曲霉毒素A,145例(87.3%)病例和71例(42.8%)对照的血浆中检测到细交链孢菌酮酸。使用多变量逻辑回归分析,暴露于细交链孢菌酮酸(比值比[AOR]=1.88[95%置信区间:1.68 - 2.11])和多种霉菌毒素(AOR = 2.54[95%置信区间:2.10 - 3.07])与食管癌呈正相关。

结论

所有病例和对照均暴露于至少一种霉菌毒素。病例暴露的霉菌毒素数量在统计学上显著高于对照。暴露于细交链孢菌酮酸和多种霉菌毒素与研究人群中食管癌风险增加相关。尽管本研究未评估黄曲霉毒素B1 - 赖氨酸以及鞘氨醇与鞘氨醇的比值(作为伏马菌素暴露的效应生物标志物),但我们的结果强调需要将霉菌毒素共同暴露的影响作为暴露组的一部分进行表征,并将其纳入风险评估,因为当前的霉菌毒素安全水平未考虑霉菌毒素共同暴露产生的相加或协同效应。此外,在埃塞俄比亚这个食管癌高发地区,应考虑采用定期采样的前瞻性研究设计,以获得关于霉菌毒素暴露在该疾病发病和发展中作用的确切结果。

https://cdn.ncbi.nlm.nih.gov/pmc/blobs/92ea/11635094/2ace5abe80eb/gr1.jpg

文献AI研究员

20分钟写一篇综述,助力文献阅读效率提升50倍。

立即体验

用中文搜PubMed

大模型驱动的PubMed中文搜索引擎

马上搜索

文档翻译

学术文献翻译模型,支持多种主流文档格式。

立即体验