Suppr超能文献

孟德尔随机化研究支持强迫症遗传易感性与阿尔茨海默病风险相关。

Mendelian Randomization Study Supports Genetic Liability to Obsessive-Compulsive Disorder Associated With the Risk of Alzheimer's Disease.

机构信息

Department of Anesthesiology, Third Xiangya Hospital, Central South University, Changsha, Hunan, China.

Department of Medicine, Jacobi Medical Center, Albert Einstein College of Medicine, Bronx, New York, USA.

出版信息

Brain Behav. 2024 Oct;14(10):e70081. doi: 10.1002/brb3.70081.

Abstract

BACKGROUND

Observational studies have suggested that obsessive-compulsive disorder (OCD) may be associated with Alzheimer's disease (AD). However, whether OCD is a causal risk factor for AD remains unclear. This study aimed to assess the causal effect of OCD on AD risk by performing a two-sample Mendelian randomization (MR) analysis.

METHODS

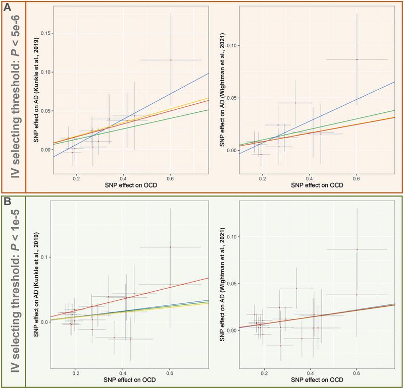
Genome-wide association summary statistics were obtained for OCD, comprising 2688 cases and 7037 controls, as well as for AD, including 21,982 cases and 41,944 controls from Kunkle et al.'s study, and 39,918 cases and 358,140 controls from Wightman et al.'s study. On the basis of two diverse thresholds, OCD-associated genetic variants were screened as instrumental variables (IVs) for subsequent MR analyses. Inverse variance weighed was the primary MR method. MR-Egger, weighted median, and weighted mode were used as supplementary MR methods. Various sensitivity tests assessed the reliability of MR results.

RESULTS

On the basis of strict IV selecting thresholds, inverse-variance weighted (IVW) identified significant causal associations between genetic liability to OCD and increased risk of AD in two different sources ((i) Kunkle et al.: odds ratio [OR] = 1.070, 95% confidence interval [CI]: 1.015-1.127, p = 0.012; (ii) Wightman et al. 0.012; (iii) Wightman et al.: OR = 1.051, 95% CI: 1.014-1.090, p = 0.007). Three other supplementary MR methods yielded similar results to IVWs (OR > 1). Furthermore, all results were replicated in MR analyses based on lenient IV selecting thresholds. The sensitivity tests indicated that MR results were stable and not affected by significant horizontal pleiotropy.

CONCLUSIONS

This comprehensive MR study suggests that genetic liability to OCD is a causal risk factor for AD. Early intervention in patients with OCD may be beneficial in preventing future AD progression.

摘要

背景

观察性研究表明,强迫症(OCD)可能与阿尔茨海默病(AD)有关。然而,OCD 是否是 AD 的因果风险因素尚不清楚。本研究旨在通过双样本孟德尔随机化(MR)分析来评估 OCD 对 AD 风险的因果效应。

方法

从 Kunkle 等人的研究中获得了 OCD 的全基因组关联汇总统计数据,包括 2688 例病例和 7037 例对照,以及 AD 的汇总统计数据,包括 21982 例病例和 41944 例对照;从 Wightman 等人的研究中获得了 39918 例病例和 358140 例对照。基于两个不同的阈值,筛选与 OCD 相关的遗传变异作为随后的 MR 分析的工具变量(IVs)。逆方差加权是主要的 MR 方法。MR-Egger、加权中位数和加权模式被用作补充 MR 方法。各种敏感性测试评估了 MR 结果的可靠性。

结果

基于严格的 IV 选择阈值,逆方差加权(IVW)在两个不同来源中发现 OCD 遗传易感性与 AD 风险增加之间存在显著的因果关系((i)Kunkle 等人:比值比[OR] = 1.070,95%置信区间[CI]:1.015-1.127,p = 0.012;(ii)Wightman 等人:OR = 1.051,95% CI:1.014-1.090,p = 0.007)。另外三种补充 MR 方法的结果与 IVWs 相似(OR > 1)。此外,在基于宽松 IV 选择阈值的 MR 分析中,所有结果均得到复制。敏感性测试表明,MR 结果稳定,不受显著水平多效性的影响。

结论

这项综合的 MR 研究表明,强迫症的遗传易感性是 AD 的一个因果风险因素。对 OCD 患者进行早期干预可能有益于预防未来 AD 的进展。

https://cdn.ncbi.nlm.nih.gov/pmc/blobs/9e38/11440019/33f498dad783/BRB3-14-e70081-g006.jpg

文献AI研究员

20分钟写一篇综述,助力文献阅读效率提升50倍。

立即体验

用中文搜PubMed

大模型驱动的PubMed中文搜索引擎

马上搜索

文档翻译

学术文献翻译模型,支持多种主流文档格式。

立即体验