Suppr超能文献

斑马鱼中双酚类化合物的测定及其与聚乙烯微塑料共同暴露后的生物累积

Determination of Bisphenol Compounds and the Bioaccumulation after Co-Exposure with Polyethylene Microplastics in Zebrafish.

作者信息

Xue Moyong, Jia Ming, Qin Yuchang, Li Jing, Yao Ting, Francis Frédéric, Gu Xu

机构信息

Feed Research Institute, Chinese Academy of Agricultural Science, Beijing 100081, China.

Functional and Evolutionary Entomology, Gembloux Agro-Bio Tech, University of Liege, 5030 Gembloux, Belgium.

出版信息

Toxics. 2024 Sep 27;12(10):702. doi: 10.3390/toxics12100702.

Abstract

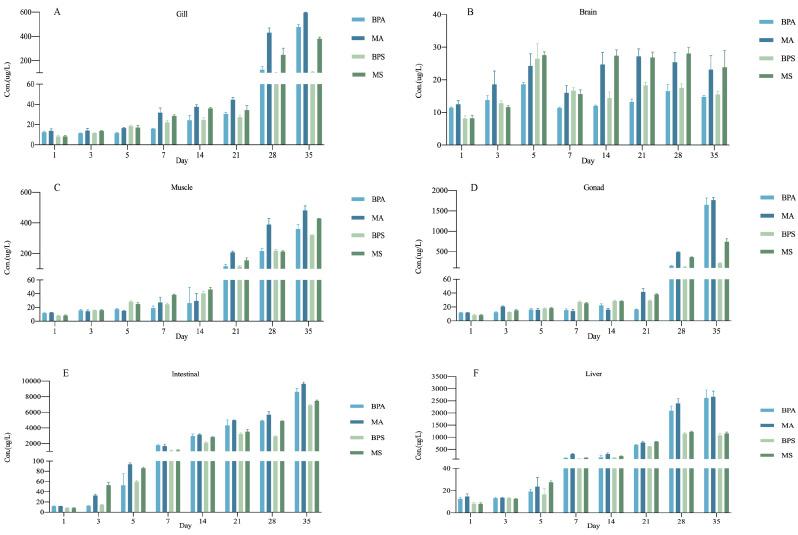
Knowledge regarding the combined toxicity mechanism of bisphenol compounds and microplastics (MPs) on organisms remains limited. In this study, we first developed an accurate and sensitive method to simultaneously quantify two bisphenol compounds and evaluate their accumulation and tissue distribution after co-exposure with MPs in zebrafish. Then, we determined the bioaccumulation potential of bisphenol A (BPA) and bisphenol S (BPS) in adult zebrafish in the absence and presence of MPs. Bisphenol compounds were found to accumulate in different tissues of zebrafish, with BPS showing lower accumulation levels compared to BPA. Importantly, we discovered that the presence of MPs could exacerbate the accumulation of bisphenol compounds in biological tissues. These findings highlight the enhanced bioavailability and risk posed by the co-exposure of bisphenol compounds and MPs, underscoring the need for further investigation into their combined environmental and biological health impacts.

摘要

关于双酚化合物和微塑料(MPs)对生物体的联合毒性机制的知识仍然有限。在本研究中,我们首先开发了一种准确且灵敏的方法,用于同时定量两种双酚化合物,并评估它们在斑马鱼中与MPs共同暴露后的积累情况和组织分布。然后,我们确定了在不存在和存在MPs的情况下,成年斑马鱼中双酚A(BPA)和双酚S(BPS)的生物累积潜力。发现双酚化合物在斑马鱼的不同组织中积累,与BPA相比,BPS的积累水平较低。重要的是,我们发现MPs的存在会加剧双酚化合物在生物组织中的积累。这些发现突出了双酚化合物和MPs共同暴露所带来的增强的生物利用度和风险,强调了进一步研究它们对环境和生物健康的联合影响的必要性。

https://cdn.ncbi.nlm.nih.gov/pmc/blobs/54e6/11511028/88c890cfaf5e/toxics-12-00702-g001.jpg

文献AI研究员

20分钟写一篇综述,助力文献阅读效率提升50倍。

立即体验

用中文搜PubMed

大模型驱动的PubMed中文搜索引擎

马上搜索

文档翻译

学术文献翻译模型,支持多种主流文档格式。

立即体验