Suppr超能文献

甜瓜醛脱氢酶(ALDH)基因家族在非生物和生物胁迫响应中的全基因组鉴定与表达分析

Genome-Wide Identification and Expression Analysis of the Melon Aldehyde Dehydrogenase (ALDH) Gene Family in Response to Abiotic and Biotic Stresses.

作者信息

Yang Dekun, Chen Hongli, Zhang Yu, Wang Yan, Zhai Yongqi, Xu Gang, Ding Qiangqiang, Wang Mingxia, Zhang Qi-An, Lu Xiaomin, Yan Congsheng

机构信息

Institute of Vegetables, Anhui Academy of Agricultural Sciences, Hefei 230001, China.

Key Laboratory of Genetic Improvement and Ecophysiology of Horticultural Crop, Hefei 230001, China.

出版信息

Plants (Basel). 2024 Oct 21;13(20):2939. doi: 10.3390/plants13202939.

Abstract

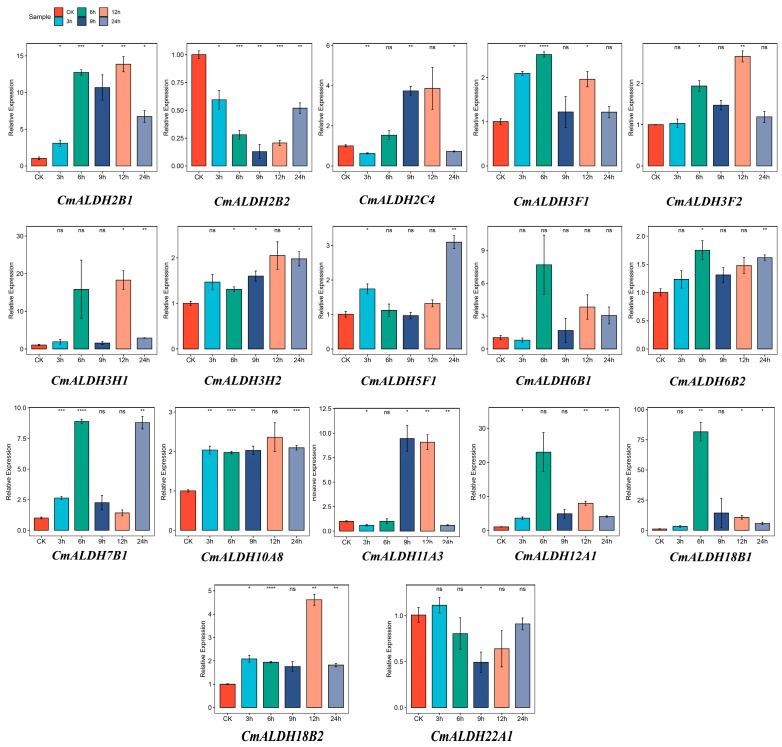
Through the integration of genomic information, transcriptome sequencing data, and bioinformatics methods, we conducted a comprehensive identification of the ALDH gene family in melon. We explored the impact of this gene family on melon growth, development, and their expression patterns in various tissues and under different stress conditions. Our study discovered a total of 17 ALDH genes spread across chromosomes 1, 2, 3, 4, 5, 7, 8, 11, and 12 in the melon genome. Through a phylogenetic analysis, these genes were classified into 10 distinct subfamilies. Notably, genes within the same subfamily exhibited consistent gene structures and conserved motifs. Our study discovered a pair of fragmental duplications within the melon ALDH gene. Furthermore, there was a noticeable collinearity relationship between the melon's ALDH gene and that of (12 times), and rice (3 times). Transcriptome data reanalysis revealed that some ALDH genes consistently expressed highly across all tissues and developmental stages, while others were tissue- or stage-specific. We analyzed the ALDH gene's expression patterns under six stress types, namely salt, cold, waterlogged, powdery mildew, wilt, and gummy stem blight. The results showed differential expression of and under all stress conditions, signifying their crucial roles in melon growth and stress response. RT-qPCR (quantitative reverse transcription PCR) analysis further corroborated these findings. This study paves the way for future genetic improvements in melon molecular breeding.

摘要

通过整合基因组信息、转录组测序数据和生物信息学方法,我们对甜瓜中的醛脱氢酶(ALDH)基因家族进行了全面鉴定。我们探究了该基因家族对甜瓜生长发育的影响以及它们在不同组织和不同胁迫条件下的表达模式。我们的研究在甜瓜基因组中总共发现了17个ALDH基因,分布在1号、2号、3号、4号、5号、7号、8号、11号和12号染色体上。通过系统发育分析,这些基因被分为10个不同的亚家族。值得注意的是,同一亚家族内的基因具有一致的基因结构和保守基序。我们的研究在甜瓜ALDH基因中发现了一对片段重复。此外,甜瓜的ALDH基因与黄瓜(12次)和水稻(3次)的ALDH基因之间存在明显的共线性关系。转录组数据重新分析表明,一些ALDH基因在所有组织和发育阶段均持续高表达,而其他基因则具有组织或阶段特异性。我们分析了ALDH基因在盐、冷、涝、白粉病、枯萎病和蔓枯病六种胁迫类型下的表达模式。结果表明,所有胁迫条件下部分基因表达存在差异,这表明它们在甜瓜生长和胁迫响应中起关键作用。逆转录定量聚合酶链反应(RT-qPCR)分析进一步证实了这些发现。本研究为甜瓜分子育种的未来遗传改良铺平了道路。

https://cdn.ncbi.nlm.nih.gov/pmc/blobs/a2b0/11510909/71fcfc5a00c0/plants-13-02939-g001.jpg

文献AI研究员

20分钟写一篇综述,助力文献阅读效率提升50倍。

立即体验

用中文搜PubMed

大模型驱动的PubMed中文搜索引擎

马上搜索

文档翻译

学术文献翻译模型,支持多种主流文档格式。

立即体验