Suppr超能文献

血清TARC水平作为大流行期间奥密克戎变异株时期COVID-19严重疾病的预测标志物

Serum TARC Level as a Predictive Marker of Severe Disease in COVID-19 during the Omicron Variant Period of the Pandemic.

作者信息

Isono Taisuke, Kojima Ayaka, Nishida Takashi, Kobayashi Yoichi, Ishiguro Takashi, Takaku Yotaro, Kagiyama Naho, Kurashima Kazuyoshi

机构信息

Department of Respiratory Medicine, Saitama Cardiovascular and Respiratory Center, Japan.

出版信息

Intern Med. 2025 Feb 1;64(3):367-374. doi: 10.2169/internalmedicine.4276-24. Epub 2024 Nov 21.

Abstract

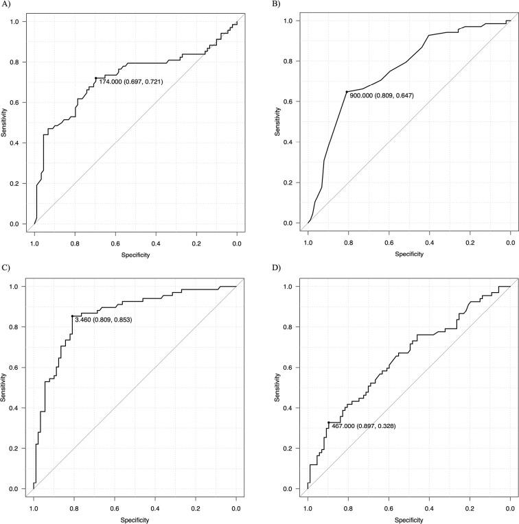
Objective Thymus and activation-regulated chemokine (TARC) can predict severe disease in patients with coronavirus disease 2019 (COVID-19). However, no reports have addressed the predictive value of TARC with the widespread use of vaccines and medications for COVID-19 during the Omicron variant period of the pandemic. Methods This single-center prospective cohort study enrolled COVID-19 patients admitted to our institution between December 1, 2021, and August 15, 2022. Patients with respiratory failure due to diseases other than COVID-19 were also excluded. We measured the serum TARC levels of patients at admission. Results We enrolled 157 patients, with 89 in the severe group and 68 in the non-severe group. The severe group was more likely than the non-severe group to include older patients, those with no or one dose of vaccine, and those with interstitial lung disease. The cutoff level of TARC derived from a receiver operator characteristic curve analysis to predict severe disease was 174.0 pg/mL. The sensitivity, specificity, positive predictive value, and negative predictive value were 72.1%, 69.7%, 64.5%, and 76.5%, respectively. The area under the curve was 0.722 (95% confidence interval: 0.635-0.809). A multivariate analysis showed that 2 vaccination doses were associated with non-severe disease, and TARC ≤174 pg/mL was associated with severe disease. Conclusion TARC was a predictive factor for severe disease, but its cutoff value was higher and its predictive accuracy lower than those in previous reports. We surmised that during the Omicron variant period of the pandemic, the widespread use of vaccines and medications for COVID-19 decreased the predictive accuracy of TARC.

摘要

目的 胸腺与激活调节趋化因子(TARC)可预测2019冠状病毒病(COVID-19)患者的重症疾病。然而,在疫情的奥密克戎变异株流行期间,随着COVID-19疫苗和药物的广泛使用,尚无关于TARC预测价值的报道。方法 这项单中心前瞻性队列研究纳入了2021年12月1日至2022年8月15日期间入住我院的COVID-19患者。因COVID-19以外的疾病导致呼吸衰竭的患者也被排除。我们在患者入院时测量其血清TARC水平。结果 我们纳入了157例患者,其中重症组89例,非重症组68例。重症组比非重症组更有可能包括老年患者、未接种或仅接种一剂疫苗的患者以及患有间质性肺病的患者。通过受试者工作特征曲线分析得出的预测重症疾病的TARC临界值为174.0 pg/mL。敏感性、特异性、阳性预测值和阴性预测值分别为72.1%、69.7%、64.5%和76.5%。曲线下面积为0.722(95%置信区间:0.635-0.809)。多因素分析显示,接种2剂疫苗与非重症疾病相关,TARC≤174 pg/mL与重症疾病相关。结论 TARC是重症疾病的预测因素,但其临界值高于既往报道,预测准确性低于既往报道。我们推测,在疫情的奥密克戎变异株流行期间,COVID-19疫苗和药物的广泛使用降低了TARC的预测准确性。

https://cdn.ncbi.nlm.nih.gov/pmc/blobs/9a89/11867742/e23c486ef72e/1349-7235-64-0367-g001.jpg

文献AI研究员

20分钟写一篇综述,助力文献阅读效率提升50倍。

立即体验

用中文搜PubMed

大模型驱动的PubMed中文搜索引擎

马上搜索

文档翻译

学术文献翻译模型,支持多种主流文档格式。

立即体验