Suppr超能文献

“支气管扩张严重程度指数”(BSI)和“FACED”评分在成年澳大利亚原住民中的适用性和有效性

Applicability and Validity of the "Bronchiectasis Severity Index" (BSI) and "FACED" Score in Adult Aboriginal Australians.

作者信息

Howarth Timothy, Gibbs Claire, Abeyaratne Asanga, Heraganahally Subash S

机构信息

Darwin Respiratory and Sleep Health, Darwin Private Hospital, Darwin, NT, Australia.

Department of Technical Physics, University of Eastern Finland, Kuopio, North Savo, Finland.

出版信息

Int J Chron Obstruct Pulmon Dis. 2024 Dec 4;19:2611-2628. doi: 10.2147/COPD.S482848. eCollection 2024.

Abstract

BACKGROUND

The prevalence of bronchiectasis is significantly higher among adult Aboriginal Australians (the Indigenous peoples of Australia) compared to non-Aboriginal Australians. Currently, there is no well-established tool to assess bronchiectasis severity specific to Indigenous peoples. Nor has the applicability and validity of the two well-established bronchiectasis severity assessment tools - The "Bronchiectasis Severity Index" (BSI) and "FACED" scale been vigorously tested in an Indigenous population. This retrospective study evaluated the validity of the BSI and FACED amongst an adult Aboriginal Australian cohort with bronchiectasis in the Top End Northern Territory (NT) of Australia.

METHODS

Patients with CT confirmed bronchiectasis identified between 2011 and 2020, residing in the Top End of the NT were eligible to be enrolled. The primary endpoint of 4-year mortality was assessed via hospital records, and sensitivity and specificity of the BSI and FACED assessed against this using area under the curve (AUC) receiver operating characteristics analysis. For patients with missing data, a relative BSI / FACED score was used which divided the score recorded for that patient by the total potential score based on their available clinical data.

RESULTS

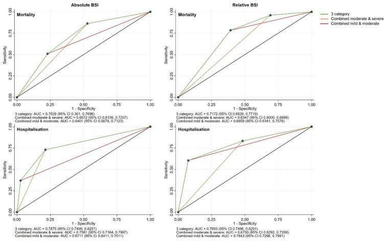
A total of 456 adult Aboriginal Australian patients >18 years of age were included (55.5% female, median age 49 years). According to the BSI score 43.4% of patients were assessed to have mild, 30.5% moderate and 26.1% severe bronchiectasis (median score 4 (IQR 2, 8)). According to the FACED 80.9% were assessed to have mild, 17.8% moderate and 1.3% severe (median score of 1 (IQR 0, 2)). Four-year mortality was 11.2% (median age of death 55.6 years). Sensitivity and specificity of the BSI combining moderate and severe were 86.3 and 47.2% respectively, and for severe alone 51% and 77%. Sensitivity and specificity of the FACED combining moderate and severe were 21.6% and 81.2%, respectively, and for severe alone 2% and 98.8%. The AUC for the continuous total BSI was 0.703, and the FACED 0.515. Utilising a relative score, based only on data available for patients with missing data (ie lung function or BMI) resulted in slightly improved AUCs for both the BSI (0.717) and FACED (0.571).

CONCLUSION

Both BSI and FACED bronchiectasis assessment tools may not be ideal in an Indigenous/Aboriginal people's context. However, it may be reasonable to utilise the relative BSI score in this population until Indigenous people's specific bronchiectasis severity assessment tools are developed.

摘要

背景

与非澳大利亚原住民相比,澳大利亚原住民(澳大利亚的原住民)中支气管扩张症的患病率显著更高。目前,尚无专门针对原住民评估支气管扩张症严重程度的成熟工具。两种成熟的支气管扩张症严重程度评估工具——“支气管扩张症严重程度指数”(BSI)和“FACED”量表,在原住民群体中的适用性和有效性也未得到充分验证。这项回顾性研究评估了BSI和FACED在澳大利亚北领地顶端地区患有支气管扩张症的成年原住民队列中的有效性。

方法

2011年至2020年间确诊患有CT证实的支气管扩张症、居住在北领地顶端地区的患者符合纳入标准。通过医院记录评估4年死亡率这一主要终点,并使用曲线下面积(AUC)接受者操作特征分析来评估BSI和FACED的敏感性和特异性。对于数据缺失的患者,使用相对BSI/FACED评分,即将该患者记录的评分除以基于其可用临床数据的总潜在评分。

结果

共纳入456名年龄大于18岁的成年澳大利亚原住民患者(55.5%为女性,中位年龄49岁)。根据BSI评分,43.4%的患者被评估为轻度支气管扩张症,30.5%为中度,26.1%为重度(中位评分为4(四分位间距2, 8))。根据FACED评分,80.9%被评估为轻度,17.8%为中度,1.3%为重度(中位评分为1(四分位间距0, 2))。4年死亡率为11.2%(死亡中位年龄55.6岁)。将中度和重度合并的BSI的敏感性和特异性分别为86.3%和47.2%,单独重度的为51%和77%。将中度和重度合并的FACED的敏感性和特异性分别为21.6%和81.2%,单独重度的为2%和98.8%。连续性总BSI的AUC为0.703,FACED为0.515。仅基于数据缺失患者(即肺功能或BMI)的可用数据使用相对评分,导致BSI(0.717)和FACED(0.571)的AUC略有改善。

结论

在原住民背景下,BSI和FACED这两种支气管扩张症评估工具可能都不理想。然而,在开发出针对原住民的支气管扩张症严重程度评估工具之前,在该人群中使用相对BSI评分可能是合理的。

https://cdn.ncbi.nlm.nih.gov/pmc/blobs/1ab3/11625430/1bb35c9e82f2/COPD-19-2611-g0001.jpg

文献AI研究员

20分钟写一篇综述,助力文献阅读效率提升50倍。

立即体验

用中文搜PubMed

大模型驱动的PubMed中文搜索引擎

马上搜索

文档翻译

学术文献翻译模型,支持多种主流文档格式。

立即体验