Suppr超能文献

成人支气管扩张症患者支气管和动脉尺寸测量的自动化方法

Automated method of bronchus and artery dimension measurement in an adult bronchiectasis population.

作者信息

Pieters Angelina L P, Lv Qianting, Meerburg Jennifer J, van der Veer Tjeerd, Andrinopoulou Eleni-Rosalina, Ciet Pierluigi, Chalmers James D, Loebinger Michael R, Haworth Charles S, Elborn J Stuart, Tiddens Harm A W M

机构信息

Erasmus MC, University Medical Center Rotterdam, Department of Radiology and Nuclear Medicine, Rotterdam, The Netherlands.

Erasmus MC Sophia Children's Hospital, University Medical Center Rotterdam, Department of Pediatrics, division of Respiratory Medicine and Allergology, Rotterdam, The Netherlands.

出版信息

ERJ Open Res. 2024 Dec 9;10(6). doi: 10.1183/23120541.00231-2024. eCollection 2024 Nov.

Abstract

AIM

Bronchiectasis (BE) is a disease defined by irreversible dilatation of the airway. Computed tomography (CT) plays an important role in the detection and quantification of BE. The aim of this study was three-fold: 1) to assess bronchus-artery (BA) dimensions using fully automated software in a cohort of BE disease patients; 2) to compare BA dimensions with semi-quantitative BEST-CT (Bronchiectasis Scoring Technique for CT) scores for BE and bronchial wall thickening; and 3) to explore the structure-function relationship between BA-method lumen dimensions and spirometry outcomes.

METHODS

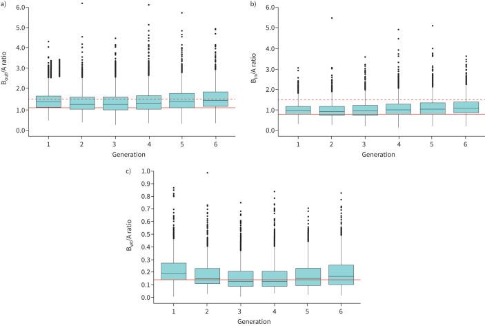
Baseline CTs of BE patients who participated in a clinical trial were collected retrospectively. CTs were analysed manually with the BEST-CT scoring system and automatically using LungQ (v.2.1.0.1, Thirona, The Netherlands), which measures the following BA dimensions: diameters of bronchial outer wall (B), bronchial inner wall (B) and artery (A), and bronchial wall thickness (B) and computes BA ratios (B/A and B/A) to assess bronchial widening. To assess bronchial wall thickness, we used the B/A ratio and the ratio between the bronchus wall area (B) and the area defined by the outer airway (B) (B/B).

RESULTS

In total, 65 patients and 16 900 BA pairs were analysed by the automated BA method. The median (range) percentage of BA pairs defined as widened was 69 (55-84)% per CT using a cut-off value of 1.5 for B/A, and 53 (42-65)% of bronchial wall were thickened using a cut-off value of 0.14 for B/A. BA dimensions were correlated with comparable outcomes for the BEST-CT scoring method with a correlation coefficient varying between 0.21 to 0.51. The major CT BA determinants of airflow obstruction were bronchial wall thickness (p=0.001) and a narrower bronchial inner diameter (p=0.003).

CONCLUSION

The automated BA method, which is an accurate and sensitive tool, demonstrates a stronger correlation between visual and automated assessment and lung function when using a higher cut-off value to define bronchiectasis.

摘要

目的

支气管扩张(BE)是一种由气道不可逆扩张所定义的疾病。计算机断层扫描(CT)在BE的检测和定量分析中发挥着重要作用。本研究的目的有三个:1)使用全自动软件评估一组BE疾病患者的支气管-动脉(BA)尺寸;2)将BA尺寸与BE和支气管壁增厚的半定量BEST-CT(CT支气管扩张评分技术)评分进行比较;3)探讨BA方法管腔尺寸与肺量计测量结果之间的结构-功能关系。

方法

回顾性收集参与一项临床试验的BE患者的基线CT图像。使用BEST-CT评分系统对CT图像进行手动分析,并使用LungQ(v.2.1.0.1,荷兰Thirona公司)进行自动分析,该软件可测量以下BA尺寸:支气管外壁(B)、支气管内壁(B)和动脉(A)的直径,以及支气管壁厚度(B),并计算BA比率(B/A和B/A)以评估支气管扩张情况。为评估支气管壁厚度,我们使用了B/A比率以及支气管壁面积(B)与气道外定义面积(B)的比率(B/B)。

结果

通过自动BA方法总共分析了65例患者和16900对BA。使用B/A截止值1.5时,每例CT中定义为扩张的BA对的中位数(范围)百分比为69(55 - 84)%,使用B/A截止值0.14时,53(42 - 65)%的支气管壁增厚。BA尺寸与BEST-CT评分方法的可比结果相关,相关系数在0.21至0.51之间。气流阻塞的主要CT BA决定因素是支气管壁厚度(p = 0.001)和较窄的支气管内径(p = 0.003)。

结论

自动BA方法是一种准确且灵敏的工具,在使用较高截止值定义支气管扩张时,视觉评估与自动评估以及肺功能之间显示出更强的相关性。

https://cdn.ncbi.nlm.nih.gov/pmc/blobs/4dfc/11626611/13da61c9117e/00231-2024.01.jpg

文献AI研究员

20分钟写一篇综述,助力文献阅读效率提升50倍。

立即体验

用中文搜PubMed

大模型驱动的PubMed中文搜索引擎

马上搜索

文档翻译

学术文献翻译模型,支持多种主流文档格式。

立即体验